Skip to Content
Merck
CN

H5542

Hyaluronic acid sodium salt

Synonym(s):

HA, Hyaluronan, Hyaluronate, Hyasis 850P, Sodium hyaluronate

Sign In to View Organizational & Contract Pricing.

Select a Size

Change View

About This Item

CAS Number:
UNSPSC Code:
12352201
Technical Service
Need help? Our team of experienced scientists is here for you.
Let Us Assist


biological source

microbial

form

powder

mol wt

0.6-1.1 MDa

storage temp.

−20°C

InChI

1S/C28H44N2O23.Na/c1-5(33)29-9-18(11(35)7(3-31)47-25(9)46)49-28-17(41)15(39)20(22(53-28)24(44)45)51-26-10(30-6(2)34)19(12(36)8(4-32)48-26)50-27-16(40)13(37)14(38)21(52-27)23(42)43;/h7-22,25-28,31-32,35-41,46H,3-4H2,1-2H3,(H,29,33)(H,30,34)(H,42,43)(H,44,45);/q;+1/t7-,8-,9-,10-,11-,12-,13+,14+,15-,16-,17-,18-,19-,20+,21+,22+,25-,26+,27-,28-;/m1./s1

InChI key

YWIVKILSMZOHHF-QJZPQSOGSA-N

Application

HA is used in many applications including, cell culture, tissue engineering, and the study of wound healing.

Biochem/physiol Actions

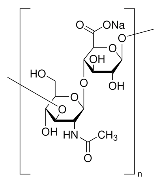
Hyaluronic acid (HA) is an anionic linerar glycosaminoglycan composed of monomers of glurcuronic acid and N-acetylglucosamine. HA is widely distributed throughout connective and epithelial tissue and is a chief component of the extracellular matrix. HA contributes to cellular proliferation and may contribute to the progression of malignant tumors.

Features and Benefits

This Hyaluronic acid is animal-component free and produced using a proprietary process that uses minimal media and a water-based technology that eliminates the need for organic solvents.

Legal Information

A product of Novozyme Corp.


Storage Class

11 - Combustible Solids

wgk

WGK 2

flash_point_f

Not applicable

flash_point_c

Not applicable

Regulatory Information

新产品

This item has



Choose from one of the most recent versions:

Certificates of Analysis (COA)

Lot/Batch Number

Don't see the Right Version?

If you require a particular version, you can look up a specific certificate by the Lot or Batch number.

Already Own This Product?

Find documentation for the products that you have recently purchased in the Document Library.

Visit the Document Library



Magdalena Donejko et al.
Drug design, development and therapy, 11, 669-676 (2017-03-16)
The aim of this study was to evaluate the effect of ethanol and hyaluronic acid (HA) on cell survival and apoptosis in cultured human skin fibroblasts. Regarding the mechanism of ethanol action on human skin fibroblasts, we investigated cell viability
Sunaina Sapru et al.
Carbohydrate polymers, 258, 117717-117717 (2021-02-18)
Globally, skin repair costs billion dollars per annum. Diversified matrices are fabricated to address this important area of healthcare. Most common limitations associated with them are the inflated production cost and insufficient functional repair. Our work explores the fabrication and
Magdalena Donejko et al.
Drug design, development and therapy, 9, 6225-6233 (2015-12-10)
The aim of the study was to evaluate the effect of ethanol on collagen biosynthesis in cultured human skin fibroblasts, and the role of hyaluronic acid (HA) in this process. Regarding the mechanism of ethanol action on human skin fibroblasts