Skip to Content
Merck
CN
HomeSingle Molecule Counting (SMC®) TechnologyIntegrating Multiplex and High Sensitivity Immunoassay Detection of Alzheimer’s Disease Biomarkers

Integrating Multiplex and High Sensitivity Immunoassay Detection of Alzheimer’s Disease Biomarkers

With complex neurodegenerative diseases such as Alzheimer’s disease, integrating multiplex and high sensitivity immunoassays to detect biomarkers can help researchers get a better understanding of disease mechanisms. Read on to learn how this concept was applied with MILLIPLEX® multiplex and SMC® high sensitivity immunoassay detection of Alzheimer’s disease biomarkers in human cerebrospinal fluid, plasma, and serum samples.

Why Should You Combine Multiplex and High Sensitivity Immunoassays in AD Research?

Monitoring protein biomarkers in cerebrospinal fluid (CSF) of patient samples with Alzheimer’s disease (AD) has been highly beneficial to understanding disease progression 1. Multiplex immunoassays allow researchers to measure several biomarkers simultaneously and generate an abundance of reliable data from a single experiment. While several CSF biomarkers can reproducibly distinguish normal and diseased samples, CSF is a difficult biological fluid to obtain in research studies.

The need for blood-based biomarkers of AD has driven a continuous search for novel candidates 2. However, the identification of blood-based biomarkers may be limited by the sensitivity of standard immunoassay methodologies. High-sensitivity immunoassay technologies can transform neurodegenerative disease research by enabling the measurement of low-abundant proteins in a variety of biofluids and create opportunities for the identification of novel biomarkers 3,4.


How to Use Multiplexing Immunoassays with High Sensitivity Immunoassays

To demonstrate the ultrasensitive capabilities of Single Molecule Counting (SMC®) technology in quantifying Alzheimer’s disease biomarkers in diverse sample types, commercially available MILLIPLEX® neuroscience kits were evaluated using CSF, plasma, and serum from AD patients and healthy controls.

Human CSF, plasma, and serum were obtained from AD patients and non-AD controls (normal) via commercial vendors (Discovery Life Sciences, BioIVT, and PrecisionMed). Samples were either run neat or diluted, according to the kit protocol. An unpaired t-test was used to calculate two-tail p-values for all analytes (GraphPad Prism).

MILLIPLEX® multiplex assays were performed in 96-well plates according to the product instruction manuals. Mean Fluorescence Intensity (MFI) was measured on a Luminex® 200™ system and data were analyzed with MILLIPLEX® Analyst 5.1 Software.

The following multiplex assays were used:

  • MILLIPLEX® Human Amyloid Beta and Tau Panel (Cat. No. HNABTMAG-68K) was used to quantitate the analytes: Amyloid β (1-40) (Aβ40), Amyloid β (1-42) (Aβ42), total Tau (tTau), and pTau T181 in 1:2 diluted CSF samples.
  • MILLIPLEX® Human Neuroscience Panel 1 (Cat. No. HNS1MAG-95K) was used to quantitate the analytes: α-Synuclein, Glial Fibrillary Acidic Protein (GFAP), Neuron-Specific Enolase (NSE), PARK5 (UCHL1), PARK7 (DJ-1), and Transglutaminase 2 (TGM2) in neat CSF samples.
  • MILLIPLEX® Human Neuroscience Panel 2 (Cat. No. HNS2MAG-95K) was used to quantitate the analytes: Angiogenin (ANG), ApoE4, FABP3, Ferritin, Neurogranin (NGRN), and TREM2, in 1:10 diluted CSF, serum, and plasma samples. This panel has been verified for both CSF and blood (serum and plasma) samples

SMC® Amyloid Beta 1-40 High Sensitivity Immunoassay Kit (Cat. No. 03-0145-00) and SMC® Amyloid Beta 1-42 High Sensitivity Immunoassay Kit (Cat. No. 03-0146-00) were used to quantitate amyloid beta peptides according to product instruction manuals. Two instruments were used to independently quantify SMC® immunoassays: the ERENNA® and the SMCxPRO® instruments. Sgx Link™ and xPRO® software were used for data collection and analysis for the ERENNA® and SMCxPRO® platforms, respectively.

Multiplexing Results

MILLIPLEX® multiplex immunoassays are recognized as valuable tools to measure biomarkers of neurodegenerative disease.

CSF Samples

Several established and emerging neurodegenerative disease biomarkers were examined in the CSF samples of normal and AD patients, before assessing biomarker detection in serum and plasma samples. Standard curves for each of the kits that were used are shown in Figure 1.

Multiplex immunoassays for neuroscience research. Graphs showing the MFI values of the standard curves for the MILLIPLEX® (A) Human Amyloid Beta and Tau Kit, (B) Human Neuroscience Panel 1, and (C) Human Neuroscience Panel 2 are shown.

Figure 1.Multiplex immunoassays for neuroscience research. Standard curves for the MILLIPLEX® (A) Human Amyloid Beta and Tau Kit, (B) Human Neuroscience Panel 1, and (C) Human Neuroscience Panel 2 are shown.

CSF samples from AD patients and healthy controls (normal) were evaluated with the multiplex kits, and differences in specific biomarker concentrations were determined. Each kit revealed alterations in AD CSF compared to control samples (Figure 2).

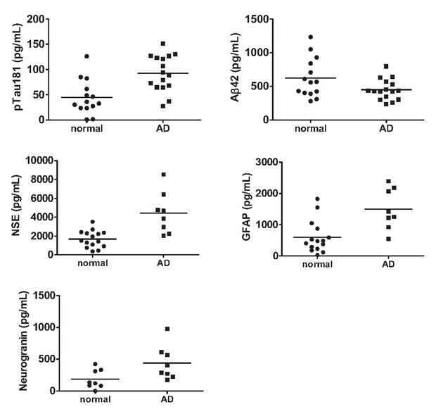
MILLIPLEX® multiplex biomarker analysis of normal and AD CSF samples, including pTau181, NSE, Neurogranin, Aβ42, and GFAP.

Figure 2. Multiplex biomarker analysis of normal and AD CSF samples.

MILLIPLEX® neuroscience kits were used to measure a total of 16 proteins in human CSF. Analysis of normal and AD CSF samples with each of these kits revealed differences in phosphorylated Tau (p=0.0009), Aβ42 (p=0.0476), NSE (p=0.008), GFAP (p=0.0016), UCHL1 (p=0.0088, data not shown), and Neurogranin (p=0.0359).

For each kit, sample sizes are as follows:

  • Human Amyloid Beta and Tau Panel - normal CSF (n=14) and AD CSF (n=16)
  • Human Neuroscience Panel 1 – normal CSF (n=15) and AD CSF (n=8)
  • Human Neuroscience Panel 2 - normal CSF (n=7) and AD CSF (n=7)

In the Human Amyloid Beta and Tau Panel, Aβ42 was decreased in AD CSF, whereas phospho-Tau (Thr181) was increased, consistent with well-established observations of these canonical AD biomarkers 5. NSE and GFAP from Human Neuroscience Panel 1 were both increased in AD CSF. In Human Neuroscience Panel 2, neurogranin NRGN exhibited higher levels in AD CSF relative to controls.

Serum and Plasma Samples

As Human Neuroscience Panel 2 is also verified for serum and plasma samples, we next examined whether any of the analytes exhibited differential protein expression in circulation. FABP3 was increased in both the plasma and serum of AD patients, whereas TREM2 was increased in AD serum, and NRGN was increased in AD plasma (Figure 3).

MILLIPLEX® multiplex biomarker measurement in normal and AD plasma and serum samples, including TREM2, FABP3, and neurogranin.

Figure 3. Multiplex AD biomarker measurement in normal and AD plasma and serum samples.

MILLIPLEX® Human Neuroscience Panel 2 was used to measure disease-related proteins in the plasma (n=5) and serum (n=6) of AD patients versus the plasma (n=12) and serum (n=8) of healthy controls. Analysis of serum and plasma with Human Neuroscience Panel 2 identified increases of TREM2 (serum p=0.0083), FABP3 (serum p=0.0204, plasma p=0.002), and neurogranin (plasma p=0.0044) in AD samples relative to healthy controls.

High Sensitivity Results

While several analytes demonstrated potential as blood-based biomarkers of AD, the low abundance of other proteins necessitated the development of assays on a high-sensitivity platform using SMC® technology. SMC® technology enabled the measurement of the amyloid beta peptides in human plasma samples (Figure 4). A small increase in plasma Aβ40 (p=0.028) was associated with AD. No difference was observed in plasma Aβ42 values. Importantly, the SMC® Aβ42 kit successfully detected the decrease in CSF Aβ42 (p=0.0116) which is characteristic of AD. A difference in Aβ40 levels in the CSF (p=0.0055) was also observed. Excellent correlation between the SMC® instrumentation platforms was demonstrated for the Aβ40 and Aβ42 kits by reading sequentially on the SMCxPRO® instrument followed by the ERENNA® instrument.

SMC® high sensitivity immunoassay biomarker measurement in normal and AD plasma and serum samples and CSF sample correlations for Aβ42 and Aβ40.

Figure 4. High sensitivity immunoassay biomarker measurement in normal and AD plasma and serum samples and CSF sample correlations.

Aβ40 and Aβ42 were measured in CSF and plasma from AD patients and healthy controls with their respective high-sensitivity SMC® immunoassays. Differences in Aβ40 between AD and healthy controls were observed in both plasma (p=0.028) and CSF (p=0.0055). A decrease in Aβ42 was observed in AD CSF (p=0.0116), although no change was observed in plasma (p=0.9733). The same plates used to measure CSF on the SMCxPRO® instrument were subsequently analyzed on the ERENNA® instrument, demonstrating a high correlation between the two platforms as shown in Figure 4.


For each kit, sample sizes are as follows:

  • SMC® Amyloid Beta 1-40 High Sensitivity Immunoassay Kit normal CSF (n=20), AD CSF (n=10), normal plasma (n=10), AD plasma (n=10)
  • SMC® Amyloid Beta 1-42 High Sensitivity Immunoassay Kit normal CSF (n=8) and AD CSF (n=8), normal plasma (n=10), and AD plasma (n=10)

Summary

MILLIPLEX® and SMC® immunoassays were used to measure a multitude of proteins linked to neurodegenerative disease in CSF, plasma, and serum samples. Established AD biomarkers such as Aβ42 and phospho-Tau showed the expected patterns of alteration in CSF. Additionally, proteins such as Neurogranin and GFAP demonstrated elevated concentrations in AD CSF. Potential blood-based biomarkers of AD were analyzed in plasma and serum samples, with several promising candidates emerging. Future studies will be integral to determining whether these observations can be corroborated with larger sample cohorts.

By adopting a fit-for-purpose approach, multiple technology platforms and immunoassays were integrated to analyze AD biomarkers in CSF, plasma, and serum samples. These MILLIPLEX® and SMC® immunoassays provide researchers with reliable resources for studying a breadth of neurodegenerative disease biomarkers in a variety of biofluids.

Materials Table

Loading

For Research Use Only. Not For Use In Diagnostic Procedures.

Related Webinars

Watch the webinar below to see a presentation on this research.

Multiplex immunoassay detection of Alzheimer’s disease biomarkers in cerebrospinal fluid, plasma, and serum

References

1.
Lleó A, Cavedo E, Parnetti L, Vanderstichele H, Herukka SK, Andreasen N, Ghidoni R, Lewczuk P, Jeromin A, Winblad B, et al. 2015. Cerebrospinal fluid biomarkers in trials for Alzheimer and Parkinson diseases. Nat Rev Neurol. 11(1):41-55. https://doi.org/10.1038/nrneurol.2014.232
2.
Hye A, Riddoch?Contreras J, Baird AL, Ashton NJ, Bazenet C, Leung R, Westman E, Simmons A, Dobson R, Sattlecker M, et al. 2014. Plasma proteins predict conversion to dementia from prodromal disease. Alzheimer's & Dementia. 10(6):799. https://doi.org/10.1016/j.jalz.2014.05.1749
3.
Hwang J, Banerjee M, Venable AS, Walden Z, Jolly J, Zimmerman C, Adkisson E, Xiao Q. 2019. Quantitation of low abundant soluble biomarkers using high sensitivity Single Molecule Counting technology. Methods. 15869-76. https://doi.org/10.1016/j.ymeth.2018.10.018
4.
Blennow K, Zetterberg H. 2015. Understanding Biomarkers of Neurodegeneration: Ultrasensitive detection techniques pave the way for mechanistic understanding. Nat Med. 21(3):217-219. https://doi.org/10.1038/nm.3810
5.
Olsson B, Lautner R, Andreasson U, Öhrfelt A, Portelius E, Bjerke M, Hölttä M, Rosén C, Olsson C, Strobel G, et al. 2016. CSF and blood biomarkers for the diagnosis of Alzheimer's disease: a systematic review and meta-analysis. The Lancet Neurology. 15(7):673-684. https://doi.org/10.1016/s1474-4422(16)00070-3
Sign In To Continue

To continue reading please sign in or create an account.

Don't Have An Account?