Fraction of cis/trans FAMEs Using Discovery® Ag-Ion SPE
Trans fats (trans unsaturated fatty acids) contain double bonds that cause carbon atoms to bond in a straight configuration. Most naturally occurring unsaturated fatty acids are in the cis- orientation (bent). Concerns have been raised for several decades that the consumption of trans fatty acids may have contributed to the 20th century epidemic of coronary heart disease by raising of LDL or “bad” cholesterol. As a result, the United States Food and Drug Administration (FDA) issued a regulation that requires, as of January 1, 2006, food manufacturers to list trans fat on the Nutrition Facts panel of foods and some dietary supplements.1
The Difficulty of cis/trans FAME Separation
The analytical method specified for this new regulation is AOAC 996.06, “Fat (Total, Saturated, and Unsaturated) in Foods,” and is suitable for the analysis in trans fat in a wide range of foods of varying fat content. In this method, fats are first extracted from food samples by hydrolytic methods (acidic and/or alkaline depending on food type) and petroleum ether followed by methylation to fatty acid methyl esters (FAMEs) using BF3. FAMEs are further extracted into a small volume of hexane prior to GC analysis.2
The most common trans fats in food are monounsaturated octadecenoic (C18:1) fatty acids,1 and are also the most difficult to resolve on capillary GC columns using a polar stationary phase such as Supelco SP-2560. To simplify analysis, silver ion solid phase extraction (Ag-Ion SPE) is used to fractionate cis/trans isomers and other FAMEs prior to capillary GC analysis, as discussed here.
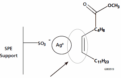
How Does Ag-Ion Work?
In Ag-ion SPE, silver ions are anchored onto SCX SPE functional group as counter-ions. As the FAME sample passes through the cartridge, the SCX-silver counter-ion acts as an electron acceptor to form polar complexes with double bonds of unsaturated FAMEs. Strength of the interaction increases with the number of double bonds, and saturated fatty acids (no double bonds) are only weakly retained.3 The cis double bonds offer more steric accessibility than their trans counter part, and can therefore form stronger polar complexes with the stationary phase (Figure 1). As a result, cis fatty acids are more strongly retained on Ag-Ion SPE than trans fatty acids. Differences in retention strength between classes of FAMEs and silver counter-ions can be exploited allowing for FAME fractionation prior to GC analysis.

Figure 1.Schematic Representation Ag-Ion SPE interacting with cis-FAME
Discovery® Ag-Ion SPE was specifically developed for the fractionation of FAMEs based on degree of unsaturation, and for the resolution of cis/trans isomers.
The phase is silver loaded using a proprietary procedure to offer optimal resolution, performance, and capacity.
FAMEs Extraction and Fractionation of Microwave Popcorn Oil
1.0 g of popcorn oil was scraped from a popped microwave oven popcorn bag, and mixed with 8 mL DI H2O. The oil-water extract was further extracted with 4 mL petroleum ether, centrifuged to remove particulates, and the ether supernatant was isolated. The petroleum ether extraction step was repeated four times, and the supernatant was combined, evaporated, and reconstituted in 16 mL toluene. 1 mL of the toluene extract was transferred to conical reaction vial to which 2 mL 7% BF3 in methanol was added. The reaction vial was incubated at 80 °C for 15 minutes using a heating block and subsequently cooled to room temperature. 1 mL DI H2O was added, and FAMEs were extracted twice using 1 mL hexane each time. The upper hexane layers were combined into a fresh vial, evaporated, and reconstituted with 5 mL hexane and 50 mg anhydrous Na2SO4.
1 mL of the hexane FAMEs extract was loaded onto the Discovery® Ag-Ion SPE tube, 750 mg/6 mL (54225-U), pre-conditioned with 4 mL acetone and 4 mL hexane sequentially. Classes of FAMEs were fractionated using the elution scheme described in Table 1. GC results and recovery data are described in Figure 2 and Table 1, respectively.

Figure 2.GC Results of cis/trans Fractionation of Microwave Popcorn Oil
Conclusion
When silver is immobilised as a counter-ion on an SCX SPE phase, FAMEs can be resolved/ fractionated on the basis of degree of unsaturation. Discovery® Ag-Ion SPE also offers sufficient selectivity to resolve structural isomers such as cis/trans fatty acids. With the new trans fat labeling regulation mandated by the FDA, Discovery® Ag-Ion SPE serves as a powerful tool for simplifying GC analysis and improving method accuracy. In this report, we demonstrated its use by fractionating cis/trans isomers in microwave popcorn oil prior to GC analysis.
Materials
References

Rezorian cartridges (1mL)
To continue reading please sign in or create an account.
Don't Have An Account?