Bestmann-Ohira Reagent:
Synthesis of Alkynes from Aldehydes Protocol
Acetylene chemistry has been and remains an important constituent element of molecular sciences. Its potential and widespread applications extend from organic synthesis through materials science to bioorganic chemistry. Some examples are enediynes (DNA-cleaving agents), "click chemistry" tools and building blocks. Consequently, it triggers a demand for efficient syntheses of alkynes.
Dimethyldiazomethylphosphonate (DAMP) has been utilized as a reagent for the synthesis of alkynes from aldehydes.1,2 This method is a widely used alternative to the longer known Corey–Fuchs method 3 and related procedures.4,5 The major disadvantage with DAMP, is that the reagent should be prepared freshly and isolated prior to metallation with KOtBu at low temperatures under an inert gas atmosphere. Corey–Fuchs method involves the Wittig-Reactions yielding 1,1-dibromoolefins, and subsequent elimination of hydrogenhalide. These two step procedures require the use of strong bases usually at low temperatures an inert gas atmosphere. To address the above deficiencies, Bestmann reported a more environmentally friendly protocol for alkyne synthesis from aldehydes using dimethyl (1-diazo-2-oxopropyl) phosphonate in one-pot (Scheme 1).6-8

Scheme 1.One-pot synthesis of alkynes from aldehydes.
Special Hazards: Corrosives, Irritants, and Flammables (Note: For a comprehensive understanding of all associated hazards, refer to each component’s MSDS by MatNo).
General Experimental Procedure:
- Assemble a 50 mL 3-neck reaction flask with condenser topped with a large bore stopcock leading to argon bubbler and thermometer.
- Flush the flask with argon for 30 minutes.
- Charge the aldehyde using a syringe and potassium carbonate using a powder funnel into the reaction flask under argon pressure.
- Degas the solids by evacuating and backfilling with argon for a total of three cycles; afterwards place the reaction flask under a slight positive pressure of argon.
- Charge dry methanol using a cannula under argon pressure.
- Stir the reaction mixture at room temperature for 30 minutes. Faint grey turbid solution observed.
- Charge dimethyl (1-diazo-2-oxopropyl)phosphonate solution (10% in acetonitrile) under argon pressure.
- Stir the reaction mixture under an argon atmosphere at room temperature for 4 hours.
- Monitor the reaction by thin layer chromatography (Rf = 0.80, 100% hexanes).
- Dilute the reaction mixture with diethyl ether.
- Wash the reaction mixture with 5% aqueous sodium bicarbonate solution and dry over sodium sulfate.
- Evaporation of the solvent yields the alkyne.
Representative Example:
The first experiment was carried out with 4-chlorobenzaldehyde and dimethyl (1-diazo-2-oxopropyl)phosphonate solution (10% in acetonitrile, 742724) to validate the literature method (Scheme 2).

Scheme 2.Synthesis of 1-chloro-4-ethynylbenzene form 4-chlorobenzaldehyde.
1-Chloro-4-ethynylbenzene: 4-Chlorobenzaldehyde and potassium carbonate were placed in an oven dried round bottom flask. Vacuum was applied and the flask was then filled with argon (repeated twice). Anhydrous methanol was added and the mixture was stirred at room temperature under an argon atmosphere for 30 min. Dimethyl (1-diazo-2-oxopropyl)phosphonate solution (10% in acetonitrile) was added to the faint grey turbid reaction mixture. The mixture was stirred at room temperature under an argon atmosphere for 4 hours. The reaction was monitored by thin layer chromatography. The reaction mixture was diluted with ether and washed with aqueous sodium bicarbonate (5%) and dried over sodium sulfate. Solvent was evaporated to obtain 1-chloro-4-ethynylbenzene.
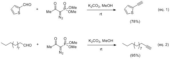
With the optimized conditions in hand, we then applied this methodology to other aldehydes (Scheme 3) containing sulfur heterocycles (eq. 1) and aliphatic chains (eq. 2) to study the scope and limitations of this method.

Scheme 3.Synthesis of other alkynes using Bestmann-Ohira reagent.
Materials
All of the above reactions were also carried out using neat reagent (Dimethyl (1-diazo-2-oxopropyl)phosphonate) and similar yields to the reported in the literature were obtained.7
To continue reading please sign in or create an account.
Don't Have An Account?