Purification or Removal of DNA-Binding Proteins
Extracted from Affinity Chromatography Vol. 3: Specific Groups of Biomolecules, GE Healthcare, 2014
Heparin Sepharose, Heparin Sepharose 6 Fast Flow, Capto Heparin
DNA-binding proteins form an extremely diverse class of proteins sharing a single characteristic, their ability to bind to DNA. Functionally the group can be divided into those responsible for the replication and orientation of the DNA such as histones, nucleosomes and replicases and those involved in transcription such as RNA/DNA polymerases, transcriptional activators and repressors and restriction enzymes. They can be produced as tagged proteins to enable more specific purification but their ability to bind DNA also enables group specific affinity purification using heparin as a ligand. Heparin is a highly sufonated glycosaminoglycan with the ability to bind a very wide range of biomolecules including:
- DNA binding proteins such as initiation factors, elongation factors, restriction endonucleases, DNA ligase, DNA, and RNA polymerases.
- Serine protease inhibitors such as antithrombin III, protease nexins.
- Enzymes such as mast cell proteases, lipoprotein lipase, coagulation enzymes, superoxide dismutase.
- Growth factors such as fibroblast growth factor, Schwann cell growth factor, endothelial cell growth factor.
- Extracellular matrix proteins such as fibronectin, vitronectin, laminin, thrombospondin, collagens.
- Hormone receptors such as estrogen and androgen receptors.
- Lipoproteins.
The structure of heparin is shown in Figure 3.10. Heparin has two modes of interaction with proteins and, in both cases, the interaction can be weakened by increases in ionic strength.
- In its interaction with DNA binding proteins heparin mimics the polyanionic structure of the nucleic acid.
- In its interaction with coagulation factors such as antithrombin III, heparin acts as an affinity ligand.

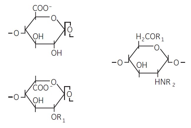
Figure 3.10.Structure of a heparin polysaccharide consisting of alternating hexuronic acid (A) and D-glucosamine residues (B). The hexuronic acid can either be D-glucuronic acid (top) or its C-5 epimer, L-iduronic acid (bottom). R1 = -H or -SO3–, R2 = -SO3– or -COCH3.
Chromatography media characteristics
Characteristics of chromatography media for purification or removal of DNA-binding proteins are shown in Table 3.11.
1 Short term refers to the pH interval for regeneration, cleaning-in-place, and sanitization procedures. Long term refers to the pH interval over which the medium is stable over a long period of time without adverse effects on its subsequent chromatographic performance.
Purification options
Purification options for Heparin Sepharose 6 Fast Flow chromatography medium and prepacked columns as well as Capto Heparin are shown in Table 3.12.
1 Appendix 4 to convert flow velocity (cm/h) to volumetric flow rate (mL/min). Maximum operating flow is calculated from measurement in a packed column with a bed height of 10 cm and i.d. of 5 cm.
2 1 m diameter column, 20 cm bed height.
Purification examples
Figures 3.11 to 3.13 show examples of conditions used for the purification of different DNA binding proteins.

Figure 3.11.Partial purification of recombinant HIV-reverse transcriptase on Hi Trap Heparin HP

Figure 3.12.Partial purification of the recombinant DNA binding Oct-1 protein (courtesy of Dr Gunnar Westin, University Hospital, Uppsala, Sweden) using HiTrap® Heparin HP, 5 mL.

Figure 3.13.scCro8 purification on HiPrep Heparin FF 16/10.
Performing a separation
Heparin Sepharose 6 Fast Flow, Heparin Sepharose High Performance
- Equilibrate the column with 10 CV of binding buffer.
- Apply the sample.
- Wash with 5 to 10 CV of binding buffer or until no material appears in the eluent (monitored by UV absorption at A280 nm).
- Elute with 5 to 10 CV of elution buffer using a continuous or step gradient from 0% to 100% elution buffer.
Modify the selectivity of heparin by altering pH or ionic strength of the buffers. Elute using a continuous or step gradient with NaCl, KCl or (NH4)2SO4 up to 2 M.
If used for purification or removal of coagulation factors:
Since the heparin acts as an affinity ligand for coagulation factors, it is advisable to include a minimum concentration of 150 mM NaCl in the binding buffer.
If an increasing salt gradient gives unsatisfactory results, use heparin (1 to 5 mg/mL) as a competing agent in the elution buffer.
Cleaning
Remove ionically bound proteins by washing with 0.5 CV of 2 M NaCl for 10 to 15 min.
Remove precipitated or denatured proteins by washing with 4 CV of 100 mM NaOH for 1 to 2 h; or 2 CV of 6 M guanidine hydrochloride for 30 to 60 min; or 2 CV of 8 M urea for 30 to 60 min. Remove hydrophobically bound proteins by washing with 4 CV of 0.1% to 0.5% Tween 20 for 1 to 2 h.
Chemical stability
100 mM NaOH (1 w at 20 °C), 50 mM sodium acetate, pH 4.0, 4 M NaCl, 8 M urea, 6 M guanidine hydrochloride.
Storage
Wash chromatography media and columns with 50 mM sodium acetate containing 20% ethanol (use approximately 5 CV for packed media) and store at 4 °C to 8 °C.
Capto Heparin
- Equilibrate with 5 CV of binding buffer.
- Apply the sample.
- Wash step 1: wash with 40 CV of binding buffer.
- Wash step 2: wash with 15 CV of wash buffer.
- Elute with 9.5 CV of elution buffer.
A flow rate of 0.5 mL/min is recommended for a 1 mL column.
Cleaning
Substances such as denatured proteins that do not elute during regeneration can be removed by cleaning-in-place (CIP) procedures. A recommended CIP procedure for Capto Heparin is 4 CV of 100 mM NaOH with a contact time of 1 to 2 h.
Storage
Store unused chromatography media at 4 ºC to 30 ºC in 20% ethanol and 50 mM of sodium acetate.
Materials
To continue reading please sign in or create an account.
Don't Have An Account?