Ellman's Sulfinamides

Since its introduction by Ellman in 1997 as a chiral ammonia equivalent,1 enantiopure 2-methyl-2-propanesulfinamide (tert-butanesulfinamide) has been demonstrated to be a versatile chiral auxiliary and has found extensive use both in academics and industry. Condensation of tert-butanesulfinamide with aldehydes and ketones proceeds under mild conditions and provides tert-butanesulfinyl imines in high yields. The tert-butanesulfinyl group activates these imines for the addition of many different classes of nucleophiles and serves as a powerful chiral directing group to provide products with generally high diastereoselectivity. Subsequent removal of the tert-butanesulfinyl group under mild conditions cleanly provides the amine products.
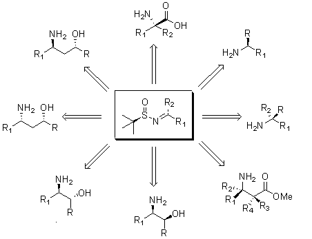
These tert-butanesulfinyl imines have been used as intermediates in the asymmetric synthesis of many versatile building blocks2 including syn- and anti- 1,2- or 1,3-amino alcohols,3,4 α-branched and α,α-dibranched amines,5 and α- or β-amino acids and esters6,7 (Scheme 1). Several researchers have taken advantage of the robust chemistry of tert-butanesulfinyl imines in the synthesis of antibiotics, biologically active compounds and other complex natural products.8 Furthermore, tert-butanesulfinyl imines have been used in the synthesis of asymmetric ligands,9 and in a few cases, appears as the chirality-bearing component.10

Scheme 1.Asymmetric synthesis of many versatile building blocks using tert-butanesulfinyl imines
Recently, tert-butanesulfinyl imines have been employed in the synthesis of chiral heterocycles. A few groups have synthesized chiral aziridines through a common tert-butanesulfinyl imine intermediate (Scheme 2). Morton and co-workers synthesized chiral aziridines using trimethylsulfonium iodide with good yields and diastereoselectivities.11a Chemla and Ferreira reacted a racemic allenylzinc substrate with various tert-butanesulfinyl imines to achieve trans-ethynylaziridines as diastereomerically and enantiomerically pure compounds in good yields.11b

Scheme 2.synthesis of chiral aziridines through a common tert-butanesulfinyl imine intermediate
Additionally, Dondas and De Kimpe devised an efficient route to pyrrolidines and piperidines using a common racemic tert-butanesulfinyl amine (Scheme 3), which is easily achieved from the sulfinyl imine by reduction with NaBH4.12 Their synthesis highlights a one-pot cascade cyclization and fragmentation, which allows for very high yields and purity of the cyclized product.

Scheme 3.Pyrrolidines and piperidines using a common racemic tert-butanesulfinyl amine
Ellman’s research group has also reported the synthesis of chiral heterocycles. In an extension of their work on synthesis of 1,3-amino-alcohols,4a Ellman carried out the asymmetric syntheses of (-)-halosaline and (-)-8-epihalosaline (Scheme 4).

Scheme 4.Asymmetric syntheses of (-)-halosaline and (-)-8-epihalosaline
Another recent report describes the intermolecular self-condensation of chiral tert-butanesulfinyl imines in a synthesis for the pyrrolizidine alkaloid SC-53116 (Scheme 5).13 In a later report, Ellman demonstrated the facile synthesis of chiral 2-substituted pyrrolidines (Scheme 6) that proceeds with high yields and diastereoselectivities.14

Scheme 5.Self-condensation of chiral tert-butanesulfinyl imines to form pyrrolizidine alkaloid

Scheme 6.Facile synthesis of chiral 2-substituted pyrrolidines
We are pleased to be able to offer this versatile and useful auxiliary in both enantiomeric and racemic forms for your research.
Materials
References
To continue reading please sign in or create an account.
Don't Have An Account?