Skip to Content
Merck
CN
HomePolymer SynthesisEvaluation of RAFT Agents

Evaluation of RAFT Agents

Jeremy Bartels, Sebastian Grajales, Kaushik Patel, Kanth V. B. Josyula, Gangadhar Panambur and Scott Batcheller

RAFT polymerization process

In 1998, members of an Australian Commonwealth Scientific and Research Organization (CSIRO) team discovered the RAFT polymerization method.1

RAFT polymerization process

Why use RAFT methods?

  • The process allows radical-initiated growing polymer chains to degeneratively transfer reactivity from one to another through the use of key functional groups (dithioesters, trithiocarbonates, xanthates and dithiocarbamates).
  • RAFT agents help to minimize out-of-control growth and prevent unwanted termination events from occurring, effectively controlling polymer properties like molecular weight and polydispersity.
  • RAFT agents are commercially available.
  • RAFT does not use any cytotoxic heavy metal components (unlike ATRP).

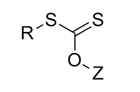
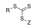
Classes of RAFT agents

  • Dithiocarbamates Z1 is typically -Me or other alkyl
    Z2 is typically -Ph or other aromatic
  • Xanthates Z is typically an alkyl chain (Et)
  • Dithioesters Z can vary widely, but is typically -Ph
  • Trithiocarbonates Z is typically an alkyl group (C12H25, etc.)

Versatility of RAFT

  • RAFT is compatible with most functional groups and solvents, including water.
  • RAFT polymerizations are often mildly tolerant to oxygen content, especially when compared to living anionic polymerizations.
  • RAFT agents may be tuned to give polymers with telechelic functionality, for further processing/ binding events.
  • The RAFT technique requires no special equipment or vacuum glassware.
  • RAFT polymers can be applied to any field, from electronics to cell biology.

Compatibility table

Compatibility table

RAFT efficacy

A series of five RAFT polymerizations were carried out using our RAFT agents, monomers, and initiators:

New class of RAFT CTAs: Universal, pH-switchable RAFT agents

New class of RAFT CTAs: Universal, pH-switchable RAFT agents

Materials

Loading

References

1.
Chiefari J, Chong YK(, Ercole F, Krstina J, Jeffery J, Le TPT, Mayadunne RTA, Meijs GF, Moad CL, Moad G, et al. 1998. Living Free-Radical Polymerization by Reversible Addition?Fragmentation Chain Transfer:  The RAFT Process. Macromolecules. 31(16):5559-5562. https://doi.org/10.1021/ma9804951

Acknowledgements

  • Shashi Jasty, Ph.D.
  • John Radke
  • Ilya Koltover, Ph.D.
  • Angel Thompson
Sign In To Continue

To continue reading please sign in or create an account.

Don't Have An Account?