Skip to Content
Merck
CN
HomeMicrobial Culture Media PreparationViable but Nonculturable (VBNC) Bacteria

Viable but Nonculturable (VBNC) Bacteria

Challenges in detection of VBNC bacteria by common culture methods

Culturing is one of the fundamental steps in microbiology. The plate count technique is a standard culturing method to enumerate viable bacteria. However, many bacterial cells could enter a distinct state called the viable but non-culturable (VBNC) state. The term “viable but nonculturable bacteria” or “not immediately culturable” describes cells that cannot normally be cultured. In most cases, the non-spore-forming bacteria are in a survival state (e.g., resting, dormancy, quiescence, or debilitation) with the active metabolic pathways, but the organisms are not growing.

According to the latest definition, Viable but non-culturable cells are considered viable and potentially replicative. However, the current methods used for resuscitation lack knowledge. With special media or certain supplements, it has been demonstrated that there are possibilities to recover them. VBNC bacteria have been often exposed to conditions like heating, drying, setting under high osmotic pressure (high salt content), or contact with inhibiting chemicals resulting in sensitive cells or sub-lethally damaged cells. This could be by the loss of some ribosomes, damaged enzymes, cell membranes, and other problems causing malfunctions in cells.

In recent years many species of Vibrio cholerae, E. coli, Campylobacter jejuni, Salmonella spp., Listeria monocytenenes, and Yersinia enterocolitica have been reported to be viable but non-culturable (VBNC) state1-10. It is important to note that bacteria that enter the VBNC state may become culturable again, and thus this state may be reversibly called “resuscitation” to describe the recovery of non-culturable cells. It was found that resuscitation can be mediated by a physical stimulus like temperature upshift and different kinds of chemical stimuli, including gas mixtures, amino acids, rich media, Supplements, etc. Additions of supplements to the re-enriched or enriched media have enabled to improve the recovery of many VBNC cells.

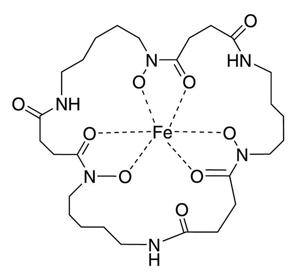
Structure of Ferrioxamine E

Structure of Ferrioxamine E

Ferrioxamine E, an organo-metallic natural trihydroxamate siderophore, is used as an effective growth factor in culturing many VBNC cells. Supplementing the pre-enrichment and enrichment broths with ferrioxamine E significantly improved the recovery of Salmonella, Cronobacter spp., Staphylococcus aureus, and Yersinia enterocolitica from artificially or naturally contaminated foods1-3. A concentration of ferrioxamine E in the range of 5-200 ng/ml supports growth (Table 1). Ferrioxamine E provides the essential micro-nutrient iron (III) to the organisms that reduce the lag phase in the medium and reactivates the damaged bacterial cells. Ferrioxamine E in Buffered Peptone Water is the medium recommended by the ISO-Norms for Enterobacteriaceae. The motility of Salmonella is also improved, enabling their identification by semisolid selective motility media like MRSV, DIASSALM, or SMS.

Ferrioxamine E acts as a semi-selective agent in isolating small quantities of cells from dried powders like tea, spices, dried fruits, etc, as it does not improve the growth of E. coli, Shigella, Proteus, Providencia, and Morganella species. Ferrioxamine E with Desferrioxamine B is used as an enrichment media that enables fast and selective detection of methicillin-resistant Staphylococcus aureus (MRSA). Desferrioxamine B adsorbs iron traces and thus inhibits the growth of concomitant microorganisms, and Ferrioxamine E supports the growth of Staphylococcus aureus.

Related Products

Loading

References

1.
Makino S, Kii T, Asakura H, Shirahata T, Ikeda T, Takeshi K, Itoh K. 2000. Does Enterohemorrhagic Escherichia coli O157:H7 Enter the Viable but Nonculturable State in Salted Salmon Roe?. Appl Environ Microbiol. 66(12):5536-5539. https://doi.org/10.1128/aem.66.12.5536-5539.2000
2.
Barcina I, Lebaron P, Vives-Rego J. Survival of allochthonous bacteria in aquatic systems: a biological approach. 23(1):1-9. https://doi.org/10.1111/j.1574-6941.1997.tb00385.x
3.
Cho J, Kim S. 1999. Viable, but non-culturable, state of a green fluorescence protein-tagged environmental isolate ofSalmonella typhiin groundwater and pond water. 170(1):257-264. https://doi.org/10.1111/j.1574-6968.1999.tb13382.x
4.
Colwell RR, Brayton PR, Grimes DJ, Roszak DB, Huq SA, Palmer LM. 1985. Viable but Non-Culturable Vibrio cholerae and Related Pathogens in the Environment: Implications for Release of Genetically Engineered Microorganisms. Nat Biotechnol. 3(9):817-820. https://doi.org/10.1038/nbt0985-817
5.
Rollins DM, Colwell RR. 1986. Viable but nonculturable stage of Campylobacter jejuni and its role in survival in the natural aquatic environment. Appl Environ Microbiol. 52(3):531-538. https://doi.org/10.1128/aem.52.3.531-538.1986
6.
Roszak DB, Colwell RR. 1987. Metabolic activity of bacterial cells enumerated by direct viable count. Appl Environ Microbiol. 53(12):2889-2893. https://doi.org/10.1128/aem.53.12.2889-2893.1987
7.
Roszak DB, Colwell RR. 1987. Survival strategies of bacteria in the natural environment. Microbiol Rev. 51(3):365-379. https://doi.org/10.1128/mr.51.3.365-379.1987
8.
Xu H-, Roberts N, Singleton FL, Attwell RW, Grimes DJ, Colwell RR. 1982. Survival and viability of nonculturableEscherichia coli andVibrio cholerae in the estuarine and marine environment. Microb Ecol. 8(4):313-323. https://doi.org/10.1007/bf02010671
9.
Besnard V, Federighi M, Declerq E, Jugiau F, Cappelier J. 2002. Environmental and physico-chemical factors induce VBNC state in Listeriamonocytogenes. Vet. Res.. 33(4):359-370. https://doi.org/10.1051/vetres:2002022
10.
Singh A, McFeters GA. 1987. Survival and virulence of copper- and chlorine-stressed Yersinia enterocolitica in experimentally infected mice. Appl Environ Microbiol. 53(8):1768-1774. https://doi.org/10.1128/aem.53.8.1768-1774.1987
11.
Reissbrodt R, Heier H, Tschäpe H, Kingsley RA, Williams PH. 2000. Resuscitation by Ferrioxamine E of Stressed Salmonella enterica Serovar Typhimurium from Soil and Water Microcosms. Appl Environ Microbiol. 66(9):4128-4130. https://doi.org/10.1128/aem.66.9.4128-4130.2000
12.
Reissbrodt R. 1996. Ferrioxamine E-supplemented pre-enrichment and enrichment media improve various isolation methods for Salmonella. International Journal of Food Microbiology. 29(1):81-91. https://doi.org/10.1016/0168-1605(95)00024-0
13.
Pless P. 1995. Improvement of Salmonella detection on motility enrichment media by ferrioxamine E-supplementation of pre-enrichment culture. International Journal of Food Microbiology. 27(2-3):147-159. https://doi.org/10.1016/0168-1605(94)00160-8
Sign In To Continue

To continue reading please sign in or create an account.

Don't Have An Account?