跳转至内容
Merck
CN

850142P

Avanti

16:0-18:1 PI

Avanti Research - A Croda Brand

别名:

1-十六烷酰基-2-(9Z-十八烯酰基)-sn- 甘油-3-磷酸-(1′-肌醇)(铵盐);POPI;PI(16:0/18:1);110660

登录 查看组织和合同定价。

选择尺寸

变更视图

关于此项目

经验公式(希尔记法):
C43H84NO13P
化学文摘社编号:
分子量:
854.10
MDL number:
UNSPSC Code:
51191904
NACRES:
NA.25
技术服务
需要帮助?我们经验丰富的科学家团队随时乐意为您服务。
让我们为您提供帮助


产品名称

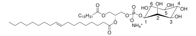
16:0-18:1 PI, 1-palmitoyl-2-oleoyl-sn-glycero-3-phosphoinositol (ammonium salt), powder

assay

>99% (TLC)

form

powder

packaging

pkg of 1 × 100 μg (with stopper and crimp cap (850142P-100ug)), pkg of 1 × 500 μg (with stopper and crimp cap (850142P-500ug))

manufacturer/tradename

Avanti Research - A Croda Brand 850142P

lipid type

cardiolipins
phospholipids

shipped in

dry ice

storage temp.

−20°C

SMILES string

O[C@H]1[C@@H]([C@H](O)[C@H](O)[C@@H](O)[C@@H]1O)OP(OC[C@H](OC([C17H33])=O)COC(CCCCCCCCCCCCCCC)=O)([O-])=O.[NH4+]

General description

磷脂酰肌醇(PI)在其头基上携带有肌醇。这种磷脂占据了10%的真核细胞脂质。
肌醇磷脂物质是膜结合的信号分子,它参与细胞生理学的几乎所有方面,包括细胞生长、代谢、增殖和存活。

Application

16:0-18:1 PI(1-棕榈酰-2-油酰-sn-丙三基-3-磷酸肌醇(铵盐))已在巨大单层囊泡(GUV)中用作一种成分。它还在液相色谱−质谱(LC-MS)方法条件的优化中被用作脂质标准品。

Packaging

2 mL 琥珀色血清瓶,带塞子和钳口盖(850142P-500ug)
带塞子和压接盖的2 mL琥珀色精华瓶(850142P-100ug)

Legal Information

Avanti Research is a trademark of Avanti Polar Lipids, LLC


存储类别

11 - Combustible Solids

wgk

WGK 3

flash_point_f

No data available

flash_point_c

No data available



历史批次信息供参考:

分析证书(COA)

Lot/Batch Number

It looks like we've run into a problem, but you can still download Certificates of Analysis from our 文件 section.

如需帮助,请联系 客户支持

已有该产品?

在文件库中查找您最近购买产品的文档。

访问文档库



Inositol Phosphate Metabolism
Cellular and Molecular Mechanisms of Inflammation, 153-174 null
Sarah N Sipe et al.
Analytical chemistry, 92(1), 899-907 (2019-11-26)
Development of chemical chaperones to solubilize membrane protein complexes in aqueous solutions has allowed for gas-phase analysis of their native-like assemblies, including rapid evaluation of stability and interacting partners. Characterization of protein primary sequence, however, has thus far been limited.
Dorotea Fracchiolla et al.
The Journal of cell biology, 219(7) (2020-05-22)
Autophagy degrades cytoplasmic cargo by its delivery to lysosomes within double membrane autophagosomes. Synthesis of the phosphoinositide PI(3)P by the autophagic class III phosphatidylinositol-3 kinase complex I (PI3KC3-C1) and conjugation of ATG8/LC3 proteins to phagophore membranes by the ATG12-ATG5-ATG16L1 (E3)



全球贸易项目编号

货号GTIN
850142P-100UG04061835229475
850142P-500UG04061835229482