跳转至内容
Merck
CN

LM1300

Avanti

12:0-13:0 PS

Avanti Research - A Croda Brand

别名:

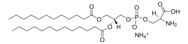
1-dodecanoyl-2-tridecanoyl-sn-glycero-3-phospho-L-serine (ammonium salt)

登录 查看组织和合同定价。

选择尺寸

变更视图

关于此项目

经验公式(希尔记法):
C31H63N2O10P
化学文摘社编号:
分子量:
654.81
UNSPSC Code:
12352211
NACRES:
NA.25
技术服务
需要帮助?我们经验丰富的科学家团队随时乐意为您服务。
让我们为您提供帮助


产品名称

12:0-13:0 PS, Avanti Research - A Croda Brand LM1300, methanol solution

assay

>99% (TLC)

form

methanol solution

packaging

pkg of 1 × 1 mL (LM1300-1EA)

manufacturer/tradename

Avanti Research - A Croda Brand LM1300

concentration

~10 μg/mL (Refer to C of A for lot specific concentration.)

shipped in

dry ice

storage temp.

−20°C

SMILES string

[H][C@@](COP([O-])(OC[C@](C(O)=O)([H])N)=O)(OC(CCCCCCCCCCCC)=O)COC(CCCCCCCCCCC)=O.[NH4+]

InChI

1S/C31H60NO10P.H3N/c1-3-5-7-9-11-13-15-17-19-21-23-30(34)42-27(25-40-43(37,38)41-26-28(32)31(35)36)24-39-29(33)22-20-18-16-14-12-10-8-6-4-2;/h27-28H,3-26,32H2,1-2H3,(H,35,36)(H,37,38);1H3/t27-,28+;/m1./s1

InChI key

DJWXUEZTHOBPTK-CNORLSDQSA-N

General description

Phosphatidylserine is the major anionic phospholipid in human plasma and intracellular membranes identified first in brain. It is a structural component of endoplasmic reticulum, nuclear envelopes, Golgi apparatus, inner layer of plasma membranes and outer mitochondrial membranes. PS is essential for healthy nerve cell membranes and myelin.

Application

12:0-13:0 PS has been used as a quantitative lipid standard to monitor different lipid extracts concentration.

Biochem/physiol Actions

Phosphatidylserine plays a key role in apoptosis by regulating cell signalling molecules and in monitoring membrane fluidity. Phosphatidylserine mediates the activation of enzymes and structural components.

Packaging

2 mL Amber Glass Sealed Ampule (LM1300-1EA)

Legal Information

Avanti Research is a trademark of Avanti Polar Lipids, LLC

Disclaimer

Supply conditions do not apply to the regions and states of Brazil: North, Northeast, Mato Grosso do Sul, Mato Grosso, and Rio Grande do Sul.


signalword

Danger

Hazard Classifications

Acute Tox. 3 Dermal - Acute Tox. 3 Inhalation - Acute Tox. 3 Oral - Flam. Liq. 2 - STOT SE 1

target_organs

Eyes

存储类别

3 - Flammable liquids

wgk

WGK 2

flash_point_f

49.5 °F - closed cup

flash_point_c

9.7 °C - closed cup

法规信息

危险化学品

此项目有



历史批次信息供参考:

分析证书(COA)

Lot/Batch Number

It looks like we've run into a problem, but you can still download Certificates of Analysis from our 文件 section.

如需帮助,请联系 客户支持

已有该产品?

在文件库中查找您最近购买产品的文档。

访问文档库



The distribution and function of phosphatidylserine in cellular membranes
Leventis PA and Grinstein S
Annual Review of Biophysics, 39, 407-427 (2010)
The effects of phosphatidylserine on endocrine response to moderate intensity exercise
Starks MA, et al.
Journal of the International Society of Sports Nutrition, 5(1), 11-11 (2008)
A comprehensive method for lipid profiling by liquid chromatography-ion cyclotron resonance mass spectrometry
Fauland A, et al.
Journal of Lipid Research, 52(12), 2314-2322 (2011)



全球贸易项目编号

货号GTIN
LM1300-1EA04061837669668