选择尺寸
关于此项目
grade
certified reference material
Quality Level
form
liquid
feature
Snap-N-Spike®/Snap-N-Shoot®
packaging
ampule of 1 mL
manufacturer/tradename
Cerilliant®
concentration
100 μg/mL in acetonitrile
technique(s)
gas chromatography (GC): suitable, liquid chromatography (LC): suitable
application(s)
clinical testing
format
single component solution
storage temp.
−20°C
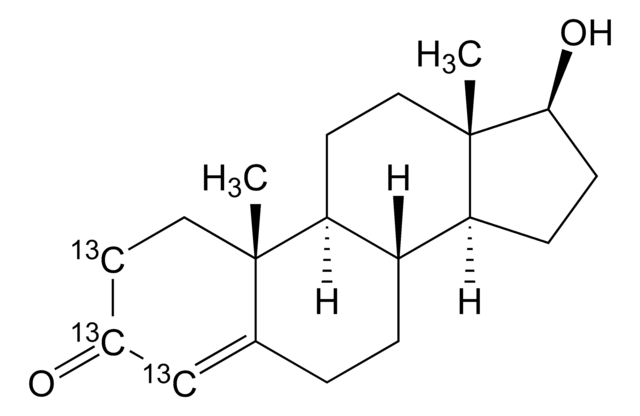
SMILES string
C[C@]12CC[C@H]3[C@@H](CCC4=[13CH][13C](=O)[13CH2]C[C@]34C)[C@@H]1CC[C@@H]2O
InChI
1S/C19H28O2/c1-18-9-7-13(20)11-12(18)3-4-14-15-5-6-17(21)19(15,2)10-8-16(14)18/h11,14-17,21H,3-10H2,1-2H3/t14-,15-,16-,17-,18-,19-/m0/s1/i7+1,11+1,13+1
InChI key
MUMGGOZAMZWBJJ-KRMLYXHASA-N
General description
Legal Information
Disclaimer
Still not finding the right product?
Explore all of our products under 睾酮-2,3,4-13C3 溶液
signalword
Danger
Hazard Classifications
Acute Tox. 4 Dermal - Acute Tox. 4 Inhalation - Acute Tox. 4 Oral - Eye Irrit. 2 - Flam. Liq. 2
存储类别
3 - Flammable liquids
wgk
WGK 2
flash_point_f
35.6 °F - closed cup
flash_point_c
2 °C - closed cup
法规信息
此项目有
商品
Accurate steroid analysis in blood serum using Supel™ Swift HLB DPX Tips; UTAK and NIST standards.
全球贸易项目编号
| 货号 | GTIN |
|---|---|
| T-070-1ML | 04061837333545 |

