grade
certified reference material
Quality Level
form
liquid
feature
(Snap-N-Spike®)
packaging
ampule of 1 mL
manufacturer/tradename
Cerilliant®
concentration
100 μg/mL in methanol
technique(s)
gas chromatography (GC): suitable, liquid chromatography (LC): suitable
application(s)
clinical testing
format
single component solution
storage temp.
−20°C
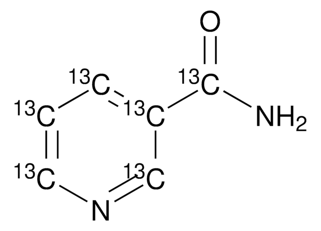
SMILES string
N[13C]([13C]1=[13CH][13CH]=[13CH]N=[13CH]1)=O
InChI
1S/C6H6N2O/c7-6(9)5-2-1-3-8-4-5/h1-4H,(H2,7,9)/i1+1,2+1,3+1,4+1,5+1,6+1
InChI key
DFPAKSUCGFBDDF-IDEBNGHGSA-N
General description
适用于定量LC-MS/MS方法和检测应用中烟酰胺水平的内标物,包括维生素补充剂、强化食品或药物制剂的临床和诊断检测或质量控制检测。烟酰胺是烟酸的酰胺。
Legal Information
CERILLIANT is a registered trademark of Merck KGaA, Darmstadt, Germany
Snap-N-Spike is a registered trademark of Merck KGaA, Darmstadt, Germany
signalword
Danger
Hazard Classifications
Acute Tox. 3 Dermal - Acute Tox. 3 Inhalation - Acute Tox. 3 Oral - Flam. Liq. 2 - STOT SE 1
target_organs
Eyes,Central nervous system
存储类别
3 - Flammable liquids
wgk
WGK 2
flash_point_f
49.5 °F - closed cup
flash_point_c
9.7 °C - closed cup
法规信息
危险化学品
此项目有
全球贸易项目编号
| 货号 | GTIN |
|---|---|
| V-034-1ML | 04061837428739 |


