登录 查看组织和合同定价。
选择尺寸
变更视图
关于此项目
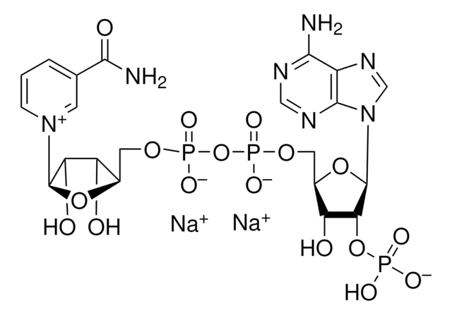
经验公式(希尔记法):
C21H26N7Na2O17P3
化学文摘社编号:
分子量:
787.37
UNSPSC Code:
12352302
PubChem Substance ID:
MDL number:
NACRES:
NA.54
Assay:
≥97%
Form:
powder
Storage temp.:
2-8°C
assay
≥97%
form
powder
mol wt
Mr 743.4, Mr 787.4
packaging
pkg of 1 g (10128058001), pkg of 100 mg (10128031001), pkg of 5 g (10240354001), pkg of 500 mg (10128040001)
manufacturer/tradename
Roche
pH
4.0 ± 1.0(10mg/mL)
λmax
260 nm
shipped in
wet ice
storage temp.
2-8°C
SMILES string
[Na+].[Na+].NC(=O)c1ccc[n+](c1)C2O[C@H](COP([O-])(=O)OP([O-])(=O)OC[C@H]3O[C@H]([C@H](OP(O)([O-])=O)[C@@H]3O)n4cnc5c(N)ncnc45)[C@@H](O)[C@H]2O
InChI
1S/C21H28N7O17P3.2Na/c22-17-12-19(25-7-24-17)28(8-26-12)21-16(44-46(33,34)35)14(30)11(43-21)6-41-48(38,39)45-47(36,37)40-5-10-13(29)15(31)20(42-10)27-3-1-2-9(4-27)18(23)32;;/h1-4,7-8,10-11,13-16,20-21,29-31H,5-6H2,(H7-,22,23,24,25,32,33,34,35,36,37,38,39);;/q;2*+1/p-2/t10-,11-,13-,14-,15-,16-,20?,21-;;/m1../s1
InChI key
WSDDJLMGYRLUKR-FHQWUTKFSA-L
General description
烟酰胺腺嘌呤二核苷酸磷酸(NADP)和NADPH可形成氧化还原对。NADPH/NADP的比例可调节细胞内氧化还原电位,从而影响 体内的代谢反应。
Application
β-NADH磷酸二钠盐已用于糖原中葡萄糖的定量。它也被用于己糖激酶的测定。
Preparation Note
储存条件(工作液):2至8°C
在2至8℃下,4周后10mg/ml的水溶液仍含有至少99%的NADP
在2至8℃下,4周后10mg/ml的水溶液仍含有至少99%的NADP
Analysis Note
吸光系数:18.0 x 103 [l x mol-1 x cm-1] ,260 nm;5.9 x 103 [l x mol-1 x cm-1],333 nm(CN复合物)
340 nm处的吸光度:100mM咪唑缓冲液(pH 6.7),NADP 2mM(= 14.87mg/10ml):A340 大约为0.100。
360 nm处的吸光度:NADP水溶液,10mg/ml:A360 大约为0.200-0.250。
340 nm处的吸光度:100mM咪唑缓冲液(pH 6.7),NADP 2mM(= 14.87mg/10ml):A340 大约为0.100。
360 nm处的吸光度:NADP水溶液,10mg/ml:A360 大约为0.200-0.250。
Other Notes
仅用于生命科学研究。不可用于诊断。
存储类别
13 - Non Combustible Solids
wgk
WGK 1
flash_point_f
Not applicable
flash_point_c
Not applicable
Redox modulation of glucose-6-P dehydrogenase in Anacystis nidulans and its 'uncoupling' by phage infection.
C Cséke et al.
FEBS letters, 126(1), 85-88 (1981-04-06)
Malgorzata Adamczyk et al.
Methods in enzymology, 500, 233-257 (2011-09-29)
In vitro enzymatic assays of cell-free extracts offer an opportunity to assess in vivo enzyme concentrations. If performed under conditions that resemble the conditions in vivo, they may also reveal some of the capacities and properties of the same enzymes
Jinrui Zhang et al.
Scientific reports, 5, 12846-12846 (2015-08-06)
Eukaryotic metabolism is organised in complex networks of enzyme catalysed reactions which are distributed over different organelles. To quantify the compartmentalised reactions, quantitative measurements of relevant physiological variables in different compartments are needed, especially of cofactors. NADP(H) are critical components
全球贸易项目编号
| 货号 | GTIN |
|---|---|
| 10128058001 | 04061838250377 |
| 10240354001 | 04061838250506 |
| 10128031001 | 04061838667625 |
| 10128040001 | 04061838667632 |