登录 查看组织和合同定价。
选择尺寸
变更视图
关于此项目
经验公式(希尔记法):
C25H36ClN3O5S
化学文摘社编号:
分子量:
526.09
NACRES:
NA.32
UNSPSC Code:
12352204
PubChem Substance ID:
MDL number:
产品名称
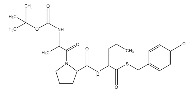
Boc-Ala-Pro-Nva p-chlorothiobenzyl ester,
assay
≥98% (TLC)
Quality Level
form
powder
solubility
chloroform: 10 mg/mL, clear, colorless
storage temp.
−20°C
SMILES string
CCCC(NC(=O)C1CCCN1C(=O)C(C)NC(=O)OC(C)(C)C)C(=O)SCc2ccc(Cl)cc2
InChI
1S/C25H36ClN3O5S/c1-6-8-19(23(32)35-15-17-10-12-18(26)13-11-17)28-21(30)20-9-7-14-29(20)22(31)16(2)27-24(33)34-25(3,4)5/h10-13,16,19-20H,6-9,14-15H2,1-5H3,(H,27,33)(H,28,30)
InChI key
ILVSMEXNXGFDPM-UHFFFAOYSA-N
General description
Leucocyte elastase substrate
存储类别
11 - Combustible Solids
wgk
WGK 3
flash_point_f
Not applicable
flash_point_c
Not applicable
ppe
Eyeshields, Gloves, type N95 (US)
法规信息
新产品
此项目有
商品
Elastase application index for understanding leukocyte elastase, a 29KDa serine endoprotease.
J W Harper et al.
Biochemistry, 23(13), 2995-3002 (1984-06-19)
The primary subsite specificities of human leukocyte elastase, cathepsin G, porcine pancreatic elastase, rat mast cell proteases I and II, bovine chymotrypsin A alpha, and the protease from strain V-8 of Staphylococcus aureus have been mapped with a series of
全球贸易项目编号
| 货号 | GTIN |
|---|---|
| B2017-25MG | 04061832904207 |