登录 查看组织和合同定价。
选择尺寸
变更视图
关于此项目
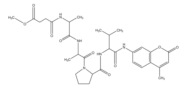
经验公式(希尔记法):
C31H41N5O9
化学文摘社编号:
分子量:
627.69
NACRES:
NA.32
PubChem Substance ID:
UNSPSC Code:
12352204
MDL number:
Quality Level
assay
≥98% (HPLC)
form
powder
solubility
chloroform: 50 mg/mL, clear, colorless
storage temp.
−20°C
SMILES string
COC(=O)CCC(=O)NC(C)C(=O)NC(C)C(=O)N1CCCC1C(=O)NC(C(C)C)C(=O)Nc2ccc3C(C)=CC(=O)Oc3c2
InChI
1S/C31H41N5O9/c1-16(2)27(30(42)34-20-9-10-21-17(3)14-26(39)45-23(21)15-20)35-29(41)22-8-7-13-36(22)31(43)19(5)33-28(40)18(4)32-24(37)11-12-25(38)44-6/h9-10,14-16,18-19,22,27H,7-8,11-13H2,1-6H3,(H,32,37)(H,33,40)(H,34,42)(H,35,41)
InChI key
CMEUDEVBFFPSEI-UHFFFAOYSA-N
General description
Fluorogenic substrate for the assay of human leukocyte and porcine pancreatic elastase.
Application
N-Methoxysuccinyl-Ala-Ala-Pro-Val-7-amido-4-methylcoumarin has been used as a substrate in elastase assay using bone marrow lysates and pancreatic lysates.
Packaging
Bottomless glass bottle. Contents are inside inserted fused cone.
存储类别
11 - Combustible Solids
wgk
WGK 3
flash_point_f
Not applicable
flash_point_c
Not applicable
ppe
Eyeshields, Gloves, type N95 (US)
商品
Elastase application index for understanding leukocyte elastase, a 29KDa serine endoprotease.
Sensitive substrates for human leukocyte and porcine pancreatic elastase: a study of the merits of various chromophoric and fluorogenic leaving groups in assays for serine proteases.
M J Castillo et al.
Analytical biochemistry, 99(1), 53-64 (1979-10-15)
Gisele Pena de Oliveira et al.
Nutrients, 11(4) (2019-04-25)
The innate immune response plays an important role in the pathophysiology of acute respiratory distress syndrome (ARDS). Glutamine (Gln) decreases lung inflammation in experimental ARDS, but its impact on the formation of extracellular traps (ETs) in the lung is unknown.
Jonas Hahn et al.
FASEB journal : official publication of the Federation of American Societies for Experimental Biology, 33(1), 1401-1414 (2018-08-22)
Papillon-Lefèvre syndrome (PLS) is characterized by nonfunctional neutrophil serine proteases (NSPs) and fulminant periodontal inflammation of unknown cause. Here we investigated neutrophil extracellular trap (NET)-associated aggregation and cytokine/chemokine-release/degradation by normal and NSP-deficient human and mouse granulocytes. Stimulated with solid or
全球贸易项目编号
| 货号 | GTIN |
|---|---|
| M9771-50MG | 04061832909479 |
| M9771-5MG | 04061832909486 |