跳转至内容
Merck
CN

N0786

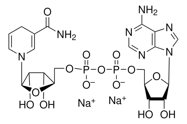
还原型 β-烟酰胺腺嘌呤二核苷酸 二钠盐

~98%, pkg of 1 mg (per vial)

别名:

β-DPNH, β-NADH, Coenzyme I reduced 二钠盐, Diphosphopyridine nucleotide reduced 二钠盐

登录 查看组织和合同定价。

选择尺寸

变更视图

关于此项目

经验公式(希尔记法):
C21H27N7Na2O14P2
化学文摘社编号:
分子量:
709.40
UNSPSC Code:
41106305
NACRES:
NA.51
PubChem Substance ID:
EC Number:
210-123-3
Beilstein/REAXYS Number:
5230241
MDL number:
Form:
powder
Assay:
~98%
Solubility:
10 mM NaOH: 0.1 mg/mL, clear, colorless
技术服务
需要帮助?我们经验丰富的科学家团队随时乐意为您服务。
让我们为您提供帮助


assay

~98%

Quality Level

form

powder

packaging

pkg of 1 mg (per vial)

solubility

10 mM NaOH: 0.1 mg/mL, clear, colorless

SMILES string

[Na+].[Na+].NC(=O)C1=CN(C=CC1)[C@H]2O[C@@H](COP([O-])(=O)OP([O-])(=O)OC[C@H]3O[C@H]([C@H](O)[C@@H]3O)n4cnc5c(N)ncnc45)[C@H](O)[C@@H]2O

InChI

1S/C21H29N7O14P2.2Na/c22-17-12-19(25-7-24-17)28(8-26-12)21-16(32)14(30)11(41-21)6-39-44(36,37)42-43(34,35)38-5-10-13(29)15(31)20(40-10)27-3-1-2-9(4-27)18(23)33;;/h1,3-4,7-8,10-11,13-16,20-21,29-32H,2,5-6H2,(H2,23,33)(H,34,35)(H,36,37)(H2,22,24,25);;/q;2*+1/p-2/t10-,11+,13-,14+,15-,16+,20-,21+;;/m0../s1

InChI key

QRGNQKGQENGQSE-QUWMEQBESA-L

Application

β-Nicotinamide adenine dinucleotide, reduced disodium salt has been used in the preparation of standard curve.

Biochem/physiol Actions

β-Nicotinamide adenine dinucleotide (β-NADH) reduced form is an essential cofactor in all the living organisms. β-NADH functions as a hydride donor in biochemical redox reactions.
电子供体

Preparation Note

溶液应新鲜制备并及时使用。

Other Notes

根据 UV-Vis 测定的 NADH 含量包装。
这是 NADH 的常见形式;不要与 α 混淆-NADH。


Still not finding the right product?


存储类别

11 - Combustible Solids

wgk

WGK 3

ppe

Eyeshields, Gloves, type N95 (US)



历史批次信息供参考:

分析证书(COA)

Lot/Batch Number

没有发现合适的版本?

如果您需要特殊版本,可通过批号或批次号查找具体证书。

已有该产品?

在文件库中查找您最近购买产品的文档。

访问文档库



Milk composition and health status from mammary gland quarters adjacent to glands affected with naturally occurring clinical mastitis
Paixao MG, et al.
Journal of Dairy Science, 100(9), 7522-7533 (2017)
The biosynthesis of nicotinamide adenine dinucleotides in bacteria
Begley TP, et al.
Vitamins and Hormones, 61, 103-119 (2001)
Xiaoling Li et al.
International journal of biological sciences, 7(5), 575-587 (2011-05-27)
Sirtuins are highly conserved NAD+-dependent protein deacetylases and/or ADP-ribosyltransferases that can extend the lifespan of several lower model organisms including yeast, worms and flies. The seven mammalian sirtuins, SIRT1 to SIRT7, have emerged as key metabolic sensors that directly link



全球贸易项目编号

货号GTIN
N0786-15VL04061834093091
N0786-1VL04061837143465