跳转至内容
Merck
CN

SML2683

dBET6

≥98% (HPLC)

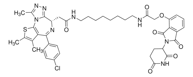
别名:

(6S)-4-(4-Chlorophenyl)-N-[8-[[2-[[2-(2,6-dioxo-3-piperidinyl)-2,3-dihydro-1,3-dioxo-1H-isoindol-4-yl]oxy]acetyl]amino]octyl]-2,3,9-trimethyl-6H-thieno[3,2-f][1,2,4]triazolo[4,3-a][1,4]diazepine-6-acetamide

登录 查看组织和合同定价。

选择尺寸

变更视图

关于此项目

经验公式(希尔记法):
C42H45ClN8O7S
化学文摘社编号:
分子量:
841.37
UNSPSC Code:
12352200
NACRES:
NA.77
MDL number:
Assay:
≥98% (HPLC)
Form:
powder
技术服务
需要帮助?我们经验丰富的科学家团队随时乐意为您服务。
让我们为您提供帮助


ligand

thalidomide

assay

≥98% (HPLC)

form

powder

color

white to beige

solubility

DMSO: 2 mg/mL, clear

storage temp.

−20°C

SMILES string

[s]1c2c(c(c1C)C)C(=N[C@H](c7[n]2c(nn7)C)CC(=O)NCCCCCCCCNC(=O)COc4c5c(ccc4)C(=O)N(C5=O)C6CCC(=O)NC6=O)c3ccc(cc3)Cl

InChI

1S/C42H45ClN8O7S/c1-23-24(2)59-42-35(23)37(26-13-15-27(43)16-14-26)46-29(38-49-48-25(3)50(38)42)21-33(53)44-19-8-6-4-5-7-9-20-45-34(54)22-58-31-12-10-11-28-36(31)41(57)51(40(28)56)30-17-18-32(52)47-39(30)55/h10-16,29-30H,4-9,17-22H2,1-3H3,(H,44,53)(H,45,5

InChI key

JGQPZPLJOBHHBK-UFXYQILXSA-N

Biochem/physiol Actions

dBET6 is a highly cell penetrant, potent and selective BET (bromodomain and extra-terminal domain) degrader that induces rapid (<4hrs) degradation of BRD2, BRD3 and BRD4 and complete down-regulation of c-MYC protein and induction of apoptosis. dBET6 exhibits potent anti-cancer activities.
highly cell penetrant, potent and selective BETdegrader that induces rapid degradation of BRD2, BRD3 and BRD4


存储类别

11 - Combustible Solids

wgk

WGK 3

flash_point_f

Not applicable

flash_point_c

Not applicable

法规信息

新产品

此项目有



历史批次信息供参考:

分析证书(COA)

Lot/Batch Number

It looks like we've run into a problem, but you can still download Certificates of Analysis from our 文件 section.

如需帮助,请联系 客户支持

已有该产品?

在文件库中查找您最近购买产品的文档。

访问文档库



Georg E Winter et al.
Molecular cell, 67(1), 5-18 (2017-07-05)
Processive elongation of RNA Polymerase II from a proximal promoter paused state is a rate-limiting event in human gene control. A small number of regulatory factors influence transcription elongation on a global scale. Prior research using small-molecule BET bromodomain inhibitors