跳转至内容
CN
ZH
产品
应用
服务
资源
支持
分析化学
细胞培养与分析
化学与生物化学
临床与诊断
过滤
绿色替代产品
工业微生物学
实验室自动化
实验室器皿
材料科学
分子生物学与功能基因组学
mAbs 开发与制造
mRNA 开发与制造
制药和生物制药生产
蛋白质生物学
水纯化系统
分析化学
细胞培养与分析
化学与合成
临床与诊断
环境与大麻测试
食品和饮料测试与制造
基因组学
材料科学与工程
微生物测试
mAbs 开发与制造
mRNA 开发与制造
制药和生物制药生产
蛋白质生物学
研究与疾病领域
水纯化系统
合同制造
合同测试
定制产品
生命科学数字解决方案
IVD 开发与制造
产品服务
支持
文件
学习中心
新建
客户支持
联系我们
网站智能化
常见问题
质量与监管
计算器和应用程序
网络研讨会
返回
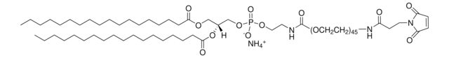
DSPE-PEG (2000) 马来酰亚胺
化学文摘社编号:
474922-22-0
Products
产品分类
lipids
制造商
物质形态
应用
筛选产品
Showing 1-2 of 2
比较
产品编号
说明
价格
880126P
DSPE-PEG (2000) 马来酰亚胺,
Avanti Research
™
- A Croda Brand
展开
查看定价
880126C
DSPE-PEG (2000) 马来酰亚胺,
Avanti Research
™
- A Croda Brand
展开
查看定价