Navigating Natural Flavor Regulations

In November 2015 the US FDA sought public comments on the use of the term “natural” in food labeling. Over 7,000 comments were submitted to the FDA illustrating wide and varied opinions on the term natural. Some found it surprising the FDA does not have an existing definition of “natural” food, but this is not a unique issue in the United States. No major regulatory agency in the world that oversees food labeling defines natural ingredients in food, with the exception of natural flavors. The US FDA, European Food Safety Authority (EFSA), Japanese Ministry of Health, and other regions have clear requirements for labeling flavors as “natural.” The different global definitions of natural flavors can vary significantly and methods for analyzing and confirming natural status are likewise diverse. A brief description of the some key regional natural flavor definitions follows as well as information on analytical verification methods.
US Natural Flavors
Natural flavors are defined in the United States under regulation 21 CFR 101.22. The key definitions in this regulation are “The term natural flavor or natural flavoring means … any product of … plant material, meat, …, eggs, dairy products, or fermentation products thereof, whose significant function in food is flavoring….” This definition identifies many types of natural raw materials and some methods for producing raw materials but can be summed up fairly easily.
Natural Flavors Definition (USA)
Under US regulations, natural flavors are flavors derived from natural raw materials that contain no artificial constituents. Artificial within the meaning of this regulation is synthetic or petrochemical. The raw materials that meet the natural definition include all animal products such as meat, egg and dairy. It also includes all botanical sources and all microbiological sources, including fermentation products. As long as the raw material source is not mineral or petrochemical, the source is considered natural.
Note also, that products from Genetically Modified Organisms (GMO) including those modified using synthetic biology1 are considered natural. GMO raw materials do not impact the natural status of flavors.
There is little restriction on manufacturing processes in declaring flavors as natural. For example, isolation of natural flavors through chemical transformation by inorganic catalysts meets the US natural flavor requirement. As an example, 2-methyl-2-pentenoic acid (FEMA# 2923) manufacturing by the base-catalyzed condensation of propionaldehyde isolated from fusel oil is considered natural. In this case, the raw material (fusel oil) is considered a natural raw material since it is the by-product of alcohol fermentation. The intermediate is isolated by distillation, a physical process, then undergoes chemical transformation via a catalyst, followed by oxidation by heating in air, and finally further purification by distillation.

Figure 1.Synthesis of natural 2-methyl-2-penenoic acid
Analytical Verification of US Natural Flavors
Analytical verification of US natural flavors is most commonly done by carbon 14 (14C) isotopic analysis. 14C is formed in the upper atmosphere by interaction with cosmic rays. The atmospheric concentration of 14C (primarily in carbon dioxide) is about one part per trillion (ppt). Atmospheric CO2 is absorbed by plants which then take on a 14C concentration equal to atmosphere 14C. This concentration is transferred to any other organism in the food chain, and ultimately to any products derived from the food chain – such as natural flavors. Since 14C has a half-life of 5,730 year, any petroleum-based raw materials would be completely depleted of 14C and the lack of 14C indicates a material of synthetic origin. 14C analysis is often reported as percent modern carbon (pmc), indicating the degree to which 14C is depleted and thus the degree to which synthetic raw materials are used.
In analyzing 14C results one must be aware of certain factors, however. Atmospheric 14C has not been constant in the last several decades. Above-ground nuclear testing artificially increased the 14C concentration in the atmosphere, peaking in 1963. Materials derived from older natural sources, such as massoia lactone (FEMA# 3744), which is derived from the bark of massoia trees, could show an unexpectedly high 14C concentration versus the current atmospheric concentration. Since the bark could be decades hold, the massoia lactone may have been isolated at a time when the 14C concentration was higher than today. Additionally, in some regions with heavy fossil fuel use, and poor atmospheric circulation, the local 14C level may be lower than expected. Although it is possible also, to add a 14C source to a flavor in order to give a false positive for natural, this type of adulteration is very difficult and expensive to do. Overall 14C analysis represents one of the best tools for authenticating natural raw materials were used in producing the flavor.
EU Natural Flavors
Natural flavors are defined in the EU in regulation (EC) 1334/2008. This regulation defines three criteria for natural flavor; 1) they must be “obtained by appropriate physical, enzymatic or microbiological processes”, 2) they must be “from material of vegetable, animal or microbiological origin”, and 3) they must “correspond to substances that are naturally present and have been identified in nature.”
The second criteria is in practice the same as the US requirement of natural source raw material. Like the US, GMO is acceptable for raw materials for natural flavor declarations. Unlike the US, however, the EU requires that natural flavors be manufactured only by traditional food preparation processes. This includes such processes as heating/cooking, physical processes like cutting, grinding, or pressing, physical separations like distillation or recrystallization, solvent extraction, enzymatic processes, and fermentation. The EU precludes the use of synthetic and inorganic catalysts in manufacturing natural flavors. Other chemical catalysts such as singlet oxygen, ozone, or UV radiation are similarly not allowed when manufacturing natural flavors. As an example, natural flavors can be purified by adsorption onto activated carbon, but the adsorption cannot be used to facility a chemical transformation. So the conversion of citronellal (FEMA# 2307) to isopulegol (FEMA# 2962) on silica gel is not acceptable for natural flavors. The EU does allow for the use of natural organic acids or bases to improve the yield of natural flavors, so long as they are not required for the chemical transformation.
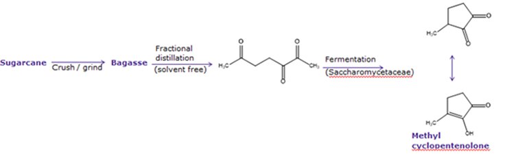
An example of an acceptable EU natural flavor manufacturing process is the manufacture of methyl cyclopentalone (FEMA# 2700) from sugarcane. Sugarcane is crushed and ground into a pulpy mass called bagasse. Upon heating, a sugary organic-chemical mix can be isolated (distilled). Yeast (saccharomycetaceae) is then used to yield fermentation products that are isolated by distillation, including the caramellic/sweet/coffee tasting methyl cyclopentenolone. Here only physical and microbiological processes are used, so the end material is considered natural in the EU.

Figure 2. Synthesis of natural methyl cyclopentenolone
Identified in Nature
In addition to the raw material and manufacturing process requirements in the EU regulations, the EU also states that natural flavors must “correspond to substances that are naturally present and have been identified in nature.” The latter part of this requirement, “identified in nature” can be verified by comparing the flavoring substance to literature references. Fenaroli’s Handbook of Flavor Ingredients is a good resource for finding natural occurrence as is The Good Scents Company website (thegoodscentscompany.com). For materials that may have optical or geometric isomers “correspond to substances that are naturally present” would include all isomers in any ratio as long as all the isomers are found in nature or are known to form through natural processes when isolated. For example, δ –decalactone (FEMA# 2361) occurs naturally in both the S(-) enantiomer (96.6% EE in raspberries) and R(+) (94.0% EE in peaches). Because both enantiomers are found in nature, a flavor of exclusively S or R or any combination including racemic mixtures meets the “identified in nature” requirement.
Ammonium, sodium, potassium and calcium salts of flavors as well as chlorides, carbonates and sulfates are considered “identified in nature” as long as the parent flavor is identified in nature. For example, methyl ethyl pyruvic acid (FEMA# 3870) naturally occurs in asparagus, cocoa, and some cheeses. Sodium 3-methyl-2-oxovalerate (FEMA# 3870) could be considered natural, even though it is not identified in nature, as long as it meets the other criteria.
Analytical Verification of EU Natural Flavors
Because EU natural flavors have three criteria, analytical verification can be very difficult. 14C analysis can be used to verify the raw material source is natural, but it is very difficult to confirm the material was manufactured using an acceptable, traditional process. Several methods are used to discern the manufacturing process, but they all have their limitations.
Chiral Analysis
Since some chiral materials are found in nature in only one enantiomer, chiral analysis can be used to verify the material meets the identified in nature criteria. If other enantiomers are found in nature, however, any enantiomeric combination is acceptable. Since enzymatic methods can result in enantiomeric ratios not found in nature, and materials may racemate over time, particularly if heated, like during a distillation/purification, identification of a racemic mixture is not sufficient to declare a material is not natural.
Fingerprint Analysis
Some synthetic methods yield known impurities indicative of the synthetic process. For example, when mineral acids are used to convert 2-methyl butanol (FEMA# 3998) to 2-methylbutyric acid (FEMA# 2695) the reaction also yields 2-hydroxy-2-methylbutyric acid. Presence of 2-hydroxy-2-methylbutyric in 2-methylbutryic acid is therefore indicative of a process not acceptable as natural in the EU. Although the fingerprint analysis is a good method for a few well-known synthetic processes it is limited to only those known reaction schemes.
Site-Specific DNMR
Some natural processes result in a known hydrogen-deuterium ratio at specific molecular sites. Determination of naturalness, however, can be quite challenging. Different acceptable natural manufacturing methods such as extraction, fermentation, or enzymatic conversion and different natural raw materials can result in a wide range of hydrogen-deuterium ratios. This method is therefore good for a positive test; verifying a known natural method was used, but a negative result may not be definitive for discounting naturalness.
Stable Isotope Ratio Analysis (SIRA)
Stable isotope ratio analysis is similar to site-specific DNMR in that is evaluates the stable isotopic ratio of flavor molecules. Atmospheric oxygen, for example, has a known, stable isotopic ratio. Oxidation of alcohols to acids using mineral acids results in an oxygen isotopic ratio that differs from the natural atmospheric ratio. Like DNMR, SIRA has similar shortcomings. Different, acceptable manufacturing methods can result in different isotope ratios. Fermentation, for example, may scramble oxygen isotope ratios. Like DNMR, SIRA is good for positive results, showing a stable isotope ratio resulted from a known natural manufacturing method, but negative results may not be definitive.
EU Natural Flavor Summary
The EU definition of natural flavors is stricter than that in the US. As a result, EU natural flavors meet the US requirement, but the reverse is not necessarily true. EU natural has requirements on the manufacturing method as well as the raw material origin. Confirmation of the natural method can be very difficult and all the analytical methods have their shortcomings. Additionally the EU requires that materials declared as natural flavors be identified in nature. This excludes some flavors such as vanillyl butyl ether (FEMA# 3796) which is produced from the fermentation of vanillyl alcohol (FEMA# 3737) but there is no identified natural occurrence of vanillyl butyl ether.
Other, Global Natural Flavor Definitions
Different global entities may have their own definitions of natural flavors. An exhaustive review is beyond the scope of this article; however, some different global definitions are presented. India, for example, defines a natural flavor as flavors derived exclusively by physical processes from vegetables. Unlike US or EU requirements, microbiological processes are not allowed. Japan, like the US does restrict the manufacturing method, however, they have a limited list of plant and animals which are allowed sources for natural flavors. Only substances derived from organisms on that list can be declared as natural flavors. The Canadian standard is similar to the US standard but focuses more on artificial flavors. It states that materials not derived from plant, animal, or microbiological sources must be labeled as artificial. By default, those derived from natural sources could be declared natural. Australia & New Zealand revised their regulations in 2002, removing references to natural flavors and therefore no longer distinguish between natural and artificial flavors. The Flavor and Fragrance Association of Australia and New Zealand (FFAANZ) recommend following the EU requirements, but this is not a regulatory requirement.
Because of the many different natural definitions, some regions rely on the IOFI (International Organization of the Flavor Industry) guideline. Although not a regulation, IOFI provides a detailed guideline for flavors. Their guideline is based primarily on EU regulations. Like the EU, IOFI indicates natural flavors should be derived from natural raw materials, obtained from physical, enzymatic, or microbiological processes, and identified in nature.
Summary
Regulatory definitions of natural flavors can vary significantly from regions like Australia that does not define natural flavors to the EU which proscribes raw materials, manufacturing methods, and identified in nature all as part of the criteria for a natural flavor declaration on a food label. Since the EU regulation is one of the most proscriptive, EU natural flavors meet most global definitions, but not all. Japan, for example, has a limited list of acceptable raw materials for natural flavors, where the EU, and most other countries and regions, do not. Although public perception may differ, GMO does not preclude a raw material from being a natural source. Analytical verification of natural can be very difficult. Carbon 14 analysis is a good tool for verifying a flavor was made exclusively from natural raw materials, but it has some shortcomings. Analytical verification of manufacturing processes is very difficult and often only definitive for verifying specific natural processes were used for some select materials.
With the many different definitions of natural flavors it is important to know the regions where the flavors are marketed. A thorough understanding of the raw materials used and the manufacturing method is often needed to determine if the substance meets the local definition of a natural flavor.
Footnotes
1Synthetic biology is a type of genetic modification which differs from traditional GM methods in that the gene used to modify the organism is manufactured rather than spliced from a different organism.
如要继续阅读,请登录或创建帐户。
暂无帐户?