跳转至内容
Merck
CN
HomePhotovoltaics & Solar CellsOrganic Dyes for Efficient and Stable Dye-Sensitized Solar Cells

Organic Dyes for Efficient and Stable Dye-Sensitized Solar Cells

Kohjiro Hara1, Nagatoshi Koumura2

1Research Center for Photovoltaics, 2Photonics Research Institute

Introduction

Over the last decade, dye-sensitized solar cells (DSSCs) have attracted much attention because these unconventional solar cells exhibit high performance and have the potential for low-cost production.1-4 Recently, solar energy-to-electricity conversion efficiencies as high as 11% under AM 1.5 G irradiation have been attained with DSSCs.5-7 In DSSCs, the photosensitizer is one of the most important components influencing solar cell performance, because the choice of sensitizer determines the photoresponse of the DSSC and initiates the primary steps of photon absorption and the subsequent electron transfer process. Generally, Ru-polypyridyl-complex sensitizers, e.g., cis-dithiocyanato bis(4,4'-dicarboxy-2,2'-bipyridine)ruthenium(II) (called N3 (703206) or N719 (703214) dyes) developed by Prof. Grätzel and coworkers, have been employed for efficient DSSCs.4,5

In addition to conventional Ru-complex sensitizers, metal-free analogs in the form of organic dyes have also been investigated in DSSCs. The photovoltaic performance of organic-dye sensitizers has continually improved.8-14 Organic dyes have several advantages as sensitizers:

  1. there are fewer concerns about limited resources, because they do not contain noble metals such as ruthenium,
  2. they have large absorption coefficients due to intramolecular π-π* transitions, and
  3. there are a wide variety of structures, each of which are relatively easy to modify.

However, the performance of DSSCs based on organic dyes has not yet exceeded those based on Ru complexes. To achieve higher performances for solar cells based on organic dyes, comparable to those for solar cells based on Ru complexes, sophisticated molecular design of organic dyes is required. For this purpose, we have designed and synthesized alkyl-functionalized carbazole dyes (MK dyes) in an effort to improve both solar cell performance and long-term stability of the solar cells.15-17 Here, we report the detailed molecular design of MK dyes and the photovoltaic performance and long-term stability of DSSCs based on them.

Structure and Operating Principle of DSSC

Figure 1 shows a schematic of a DSSC and presents the mechanism of electric power generation in the DSSC. First, a sensitizer molecule, which is adsorbed on the surface of a nanocrystalline TiO2 electrode, absorbs the incident photon flux and is excited from the ground state (S) to the excited state (S*). One type of photoexcitation causes transfer of an electron from the highest occupied molecular orbital (HOMO) of the sensitizer to its lowest unoccupied molecular orbital (LUMO). Subsequent injection of the excited electron into the conduction band of the TiO2 electrode results in oxidation of the sensitizer molecule. The injected electron diffuses through the TiO2 electrode toward the transparent conducting oxide (TCO)-coated electrode and through the external load and wiring, eventually reaches the counter electrode. The oxidized sensitizer is reduced by I- ions in the electrolyte, regenerating the ground state of the sensitizer, and I- ions are oxidized to I3 - ions. The I3 - ions diffuse toward the counter electrode where they are reduced back to I- ions. Overall, electric power is generated without permanent chemical transformation.

Schematic of a DSSC illustrating the mechanism of electric power generation

Figure 1.Schematic of a DSSC illustrating the mechanism of electric power generation.

The photocurrent produced in a DSSC is directly influenced by the properties of the sensitizer. For example, the energy gap between the HOMO and LUMO of the sensitizer (which corresponds to the band gap, Eg, for inorganic semiconductor materials) determines the photoresponse range of the DSSC. Absorption over a wide range of wavelengths, extending into the near-IR region due to a small HOMO-LUMO energy gap, is necessary for harvesting a large fraction of the solar spectrum, which in turn produces a large photocurrent and thus highly efficient solar cell performance. In addition, the energy levels of the HOMO and LUMO must match the iodine redox potential and the Ecb of the TiO2 electrode. For electron injection, the LUMO must be sufficiently more negative (higher energy) than the TiO2 Ecb; the energy gap between the two levels is the driving force for electron injection. The HOMO must be sufficiently more positive (lower energy) than the redox potential of I-/I3 - to accept electrons effectively. Thus, the molecular structure of the sensitizer must be strategically designed so that its properties are optimal for efficient DSSC performance.

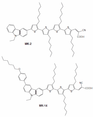
Molecular Structure of MK DyesMaterials

Molecular structures of two of the MK dyes (MK-2 and MK-14) are shown in Figure 2. These molecules consist of a donor moiety (carbazole unit) and an acceptor moiety (cyanoacrylic acid) connected by a π-conjugated structure of an oligothiophene moiety. This donoracceptor structure gives a strong absorption with a large absorption coefficient in the visible region due to the intramolecular π-π* transition. The absorption peak (λmax) is observed at 480 nm16 for MK-2 and 483 nm17 for MK-14 in tetrahydrofuran-toluene (20:80 vol %) solution. The molar absorption coefficient ε at λmax for MK-2 and MK-14 is 38,40016 and 36,200 M-1 cm-1,17 respectively. In addition, these organic dyes have a carboxy group as an anchoring group to adsorb onto the nanocrystalline TiO2 electrode.

Molecular structures of alkyl-functionalized carbazole (MK) dyes.

Figure 2.Molecular structures of alkyl-functionalized carbazole (MK) dyes.

Furthermore, an important feature of this new organic dye is the presence of n-hexyl substituents on the oligothiophene backbone. We expected that the long alkyl chains would decrease strong π-π* stacking interaction between molecules, decreasing electron injection yield, and physically restrain the I3 - ions away from the TiO2 surface and consequently decrease charge recombination between the electrons and I3 - ions. Thus, new strategic molecular designs of organic dyes in terms of engineering the interface between the organic dyes and the TiO2 surface are required to improve photovoltaic performance of organic DSSCs.

Solar Cell Performance of the DSSCs Based on MK Dyes

The spectrum of incident photon-to-current conversion efficiency (IPCE) for a DSSC composed of a nanocrystalline TiO2 electrode, MK-2, and an iodine redox (I-/I3 -) electrolyte is shown in Figure 3.

The incident photon-to-current conversion efficiency

Figure 3.The incident photon-to-current conversion efficiency (IPCE) spectrum for a DSSC based on MK-2.

Photons with a wide range of wavelengths (350-800 nm) can be converted to current by DSSCs based on this dye. IPCE values higher than 70% were observed at 400-650 nm; the maximum being 80% at 498 nm. When the reducing effect of reflection and absorption losses in the TCO substrate are excluded, the photon-to-current conversion efficiency in this range exceeds 90%, which indicates highly efficient performance of these solar cells. The solar energy-to-electricity conversion efficiency, η (%), of solar cells can be estimated from the following equation:

solar energy-to-electricity conversion

where I0 is the photon flux (ca. 100 mW cm-2 for AM 1.5 G), JSC is the short-circuit current density under irradiation, VOC is the open-circuit voltage, and FF is the fill factor. After optimization of the solar cell, we attained high η values of 8.3%16 (JSC = 15.2 mA cm-2, VOC = 0.73 V, and FF = 0.75, as shown in Figure 4) and 8.1%17 (JSC = 16.0 mA cm-2, VOC = 0.71 V, and FF = 0.71) with DSSCs based on MK-2 and MK-14, respectively, under simulated AM 1.5 G irradiation (100 mW cm-2 with an aperture mask and without an anti-reflection film); the electrolyte was 0.6 M 1,2-dimethyl-3-n-propylimidazolium iodide (49637)- 0.1M LiI (450952)-0.2M I2 (451045)- 0.5M 4-tert-butylpyridine (142379) in acetonitrile.

Photocurrent density versus voltage curve for a DSSC

Figure 4.The photocurrent density versus voltage curve for a DSSC based on MK-2.

In addition, a DSSC based on MK-2 and an ionic liquid (IL)-based electrolyte showed an η value of 7.6% (JSC = 13.9 mA cm-2, VOC = 0.73 V, and FF = 0.75), which was comparable to that with a volatile liquid electrolyte.18

Electron Diffusion Length

In DSSCs, electron transport in nanocrystalline TiO2 electrodes is also important for high solar cell performance because this process competes with charge recombination between electrons and dye cations and between electrons and redox ions (I3 -), which represent the loss processes in the system. For the photogenerated electrons to be collected, electron transport in the nanocrystalline TiO2 electrode must predominate over both charge-recombination processes. The electrontransport kinetics in nanocrystalline TiO2 electrodes are defined by the electron diffusion length (L) as shown in the following equation:

Electron Diffusion Length

where D is the electron diffusion coefficient, and τ is the electron lifetime. For example, the τ values for DSSCs with conventional coumarin dyes were much shorter than the value for DSSCs based on a Ru complex, which suggests that charge recombination between conduction- band electrons in the TiO2 and I3 - ions in the electrolyte occurs more easily in solar cells based on coumarin dyes. From this result, we concluded that the shorter τ values, which result in shorter L values, for DSSCs based on organic dyes relative to those based on Ru complexes lead to lower performance of DSSCs with organic dyes than those for DSSCs with Ru complexes.

As mentioned, an important feature of MK dyes is the presence of n-hexyl substituents on the oligothiophene backbone. We found that the τ values for the DSSCs based on MK dyes, which bear alkyl chains, were longer than the values for the DSSCs based on other organic dyes, which have thiophenes without alkyl chains.15-18 We concluded that the long alkyl chains prevent the approach of I3- ions to the TiO2 surface due to a steric effect, a hydrophobic effect, or both, thereby decreasing the concentration of I3- ions near the TiO2 surface, and thus reducing charge recombination between the electrons and I3- ions and increasing the τ value. Our success with these alkyl-functionalized MK dyes strongly suggests that the photovoltaic performance of DSSCs based on organicdye sensitizers can be improved further.

Long-Term Stability of Solar Cell Performance

Figure 5 shows long-term stability data for a DSSC based on MK-2 and an IL-based electrolyte (0.1M LiI-0.4M I2-0.1M TBP in 1-methyl-3-n-propylimidazolium iodide, Prod. No. 49637) under continuous AM 1.5 G irradiation through a UV (<420 nm) cut-off filter at ca. 50 °C. No decrease in the η was observed over a period of more than 2,000 hours (Figure 5).19 This result clearly indicated that the DSSC based on MK-2 was stable under visible-light irradiation at a relatively low temperature.

Long-term stability of a DSSC

Figure 5.Long-term stability of a DSSC based on MK-2 with an ionic liquid electrolyte under visible-light irradiation.

We reported stability of organic dyes adsorbed on nanocrystalline TiO2 electrodes under visible light irradiation.20, 21 We observed good stability of MK-2, which has an oligothiophene moiety, under visible light irradiation, while dyes without the oligothiophene moiety showed significantly faster decomposition. The data of transient absorption spectroscopy measurement suggested that delocalization of holes on the oligothiophene moiety of MK-2 leads to high stability of the dye cation after photoexcitation.20 This result also indicates that MK-2 and its cation are relatively stable under visible light irradiation due to its oligothiophene moiety. The performance of the DSSC decreased gradually under white-light irradiation including UV light or at 80 °C under dark conditions with no decomposition or detachment of the dye molecule from the TiO2 electrode.21 These results indicate that the MK-2 dye molecule in the cell was stable even under white-light irradiation and at 80 °C under dark conditions. We conclude that there are other factors decreasing the solar cell performance after white-light irradiation and heating at 80 °C, and as such, the detailed mechanism is currently under further investigation.

Summary

We designed and synthesized alkyl-functionalized carbazole dyes (MK dyes) for use in DSSCs. The DSSCs based on MK dyes showed both high solar cell performance of up to 8% under simulated AM 1.5 G irradiation and good long-term stability under continuous simulated solar light (visible-light irradiation). One of most important features of MK dyes is the presence of a n-hexyloligothiophene backbone, which prevents charge recombination between electrons and I3 - ions on the TiO2 electrode, and improves the stability of the dye molecule and the solar cell performance. Our results strongly suggest that the MK dyes can be successfully designed for use in DSSCs and further demonstrate the promising performance of DSSCs based on organic dye sensitizers.

Materials

Loading

References

1.
O'Regan B, Grätzel M. 1991. A low-cost, high-efficiency solar cell based on dye-sensitized colloidal TiO2 films. Nature. 353(6346):737-740. https://doi.org/10.1038/353737a0
2.
SMESTAD G, BIGNOZZI C, ARGAZZI R. 1994. Testing of dye sensitized TiO2 solar cells I: Experimental photocurrent output and conversion efficiencies. Solar Energy Materials and Solar Cells. 32(3):259-272. https://doi.org/10.1016/0927-0248(94)90263-1
3.
Kay A, Grätzel M. 1996. Low cost photovoltaic modules based on dye sensitized nanocrystalline titanium dioxide and carbon powder. Solar Energy Materials and Solar Cells. 44(1):99-117. https://doi.org/10.1016/0927-0248(96)00063-3
4.
Hagfeldt A, Grätzel M. 2000. Molecular Photovoltaics. Acc. Chem. Res.. 33(5):269-277. https://doi.org/10.1021/ar980112j
5.
Nazeeruddin MK, De Angelis F, Fantacci S, Selloni A, Viscardi G, Liska P, Ito S, Takeru B, Grätzel M. 2005. Combined Experimental and DFT-TDDFT Computational Study of Photoelectrochemical Cell Ruthenium Sensitizers. J. Am. Chem. Soc.. 127(48):16835-16847. https://doi.org/10.1021/ja052467l
6.
Chiba Y, Islam A, Watanabe Y, Komiya R, Koide N, Han L. Dye-Sensitized Solar Cells with Conversion Efficiency of 11.1%. Jpn. J. Appl. Phys.. 45(No. 25):L638-L640. https://doi.org/10.1143/jjap.45.l638
7.
Cao Y, Bai Y, Yu Q, Cheng Y, Liu S, Shi D, Gao F, Wang P. 2009. Dye-Sensitized Solar Cells with a High Absorptivity Ruthenium Sensitizer Featuring a 2-(Hexylthio)thiophene Conjugated Bipyridine. J. Phys. Chem. C. 113(15):6290-6297. https://doi.org/10.1021/jp9006872
8.
Horiuchi T, Miura H, Sumioka K, Uchida S. 2004. High Efficiency of Dye-Sensitized Solar Cells Based on Metal-Free Indoline Dyes. J. Am. Chem. Soc.. 126(39):12218-12219. https://doi.org/10.1021/ja0488277
9.
Hara K, Wang Z, Sato T, Furube A, Katoh R, Sugihara H, Dan-oh Y, Kasada C, Shinpo A, Suga S. 2005. Oligothiophene-Containing Coumarin Dyes for Efficient Dye-Sensitized Solar Cells. J. Phys. Chem. B. 109(32):15476-15482. https://doi.org/10.1021/jp0518557
10.
Qin P, Yang X, Chen R, Sun L, Marinado T, Edvinsson T, Boschloo G, Hagfeldt A. 2007. Influence of ?-Conjugation Units in Organic Dyes for Dye-Sensitized Solar Cells. J. Phys. Chem. C. 111(4):1853-1860. https://doi.org/10.1021/jp065550j
11.
Ito S, Miura H, Uchida S, Takata M, Sumioka K, Liska P, Comte P, Péchy P, Grätzel M. 2008. High-conversion-efficiency organic dye-sensitized solar cells with a novel indoline dye. Chem. Commun..(41):5194. https://doi.org/10.1039/b809093a
12.
Wang Z, Cui Y, Dan-oh Y, Kasada C, Shinpo A, Hara K. 2007. Thiophene-Functionalized Coumarin Dye for Efficient Dye-Sensitized Solar Cells:? Electron Lifetime Improved by Coadsorption of Deoxycholic Acid. J. Phys. Chem. C. 111(19):7224-7230. https://doi.org/10.1021/jp067872t
13.
Choi H, Baik C, Kang S, Ko J, Kang M, Nazeeruddin M, Grätzel M. 2008. Highly Efficient and Thermally Stable Organic Sensitizers for Solvent-Free Dye-Sensitized Solar Cells. Angew. Chem. Int. Ed.. 47(2):327-330. https://doi.org/10.1002/anie.200703852
14.
Zhang G, Bala H, Cheng Y, Shi D, Lv X, Yu Q, Wang P. 2009. High efficiency and stable dye-sensitized solar cells with an organic chromophore featuring a binary ?-conjugated spacer. Chem. Commun..(16):2198. https://doi.org/10.1039/b822325d
15.
Koumura N, Wang Z, Mori S, Miyashita M, Suzuki E, Hara K. 2008. Alkyl-Functionalized Organic Dyes for Efficient Molecular Photovoltaics [J. Am. Chem. Soc.2006,128, 14256?14257].. J. Am. Chem. Soc.. 130(12):4202-4203. https://doi.org/10.1021/ja7112596
16.
Wang Z, Koumura N, Cui Y, Takahashi M, Sekiguchi H, Mori A, Kubo T, Furube A, Hara K. 2008. Hexylthiophene-Functionalized Carbazole Dyes for Efficient Molecular Photovoltaics: Tuning of Solar-Cell Performance by Structural Modification. Chem. Mater.. 20(12):3993-4003. https://doi.org/10.1021/cm8003276
17.
Koumura N, Wang Z, Miyashita M, Uemura Y, Sekiguchi H, Cui Y, Mori A, Mori S, Hara K. 2009. Substituted carbazole dyes for efficient molecular photovoltaics: long electron lifetime and high open circuit voltage performance. J. Mater. Chem.. 19(27):4829. https://doi.org/10.1039/b905831a
18.
Miyashita M, Sunahara K, Nishikawa T, Uemura Y, Koumura N, Hara K, Mori A, Abe T, Suzuki E, Mori S. 2008. Interfacial Electron-Transfer Kinetics in Metal-Free Organic Dye-Sensitized Solar Cells: Combined Effects of Molecular Structure of Dyes and Electrolytes. J. Am. Chem. Soc.. 130(52):17874-17881. https://doi.org/10.1021/ja803534u
19.
Wang Z, Koumura N, Cui Y, Miyashita M, Mori S, Hara K. 2009. Exploitation of Ionic Liquid Electrolyte for Dye-Sensitized Solar Cells by Molecular Modification of Organic-Dye Sensitizers. Chem. Mater.. 21(13):2810-2816. https://doi.org/10.1021/cm900544j
20.
Katoh R, Furube A, Mori S, Miyashita M, Sunahara K, Koumura N, Hara K. 2009. Highly stable sensitizer dyes for dye-sensitized solar cells: role of the oligothiophene moiety. Energy Environ. Sci.. 2(5):542. https://doi.org/10.1039/b900372j
21.
Hara K, Wang Z, Cui Y, Furube A, Koumura N. 2009. Long-term stability of organic?dye-sensitized solar cells based on an alkyl-functionalized carbazole dye. Energy Environ. Sci.. 2(10):1109. https://doi.org/10.1039/b907486d
登录以继续。

如要继续阅读,请登录或创建帐户。

暂无帐户?