Select a Size
About This Item
Quality Level
assay
≥97%
form
liquid
contains
225 ppm±25 ppm BHT as inhibitor
refractive index
n20/D 1.485 (lit.)
bp
200 °C (lit.)
density
1.11 g/mL at 25 °C (lit.)
storage temp.
2-8°C
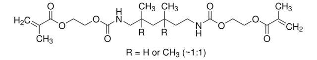
SMILES string
CC(CCNC(=O)OCCOC(=O)C(C)=C)CC(C)(C)CNC(=O)OCCOC(=O)C(C)=C
InChI
1S/C23H38N2O8/c1-16(2)19(26)30-10-12-32-21(28)24-9-8-18(5)14-23(6,7)15-25-22(29)33-13-11-31-20(27)17(3)4/h18H,1,3,8-15H2,2,4-7H3,(H,24,28)(H,25,29)
InChI key
UEKHZPDUBLCUHN-UHFFFAOYSA-N
General description
Application
- A monomer in the synthesis of the shape memory polymer that is used as the matrix material for the preparation of high-strength and stiffness composites. These composites show excellent shape memory behavior and mechanical strength, making them suitable for bone fixation devices.
- A crosslinking agent to prepare the denture biomaterials, which contain antifungal drugs incorporated into the polymer matrix for controlling drug delivery.
- A crosslinking agent in the synthesis of anion exchange membranes (AEMs) for use in electrochemical devices.
signalword
Warning
hcodes
Storage Class
10 - Combustible liquids
flash_point_f
>212.0 °F
flash_point_c
> 100 °C
ppe
Eyeshields, Gloves
Hazard Classifications
Aquatic Chronic 3 - Skin Sens. 1B
Choose from one of the most recent versions:
Already Own This Product?
Find documentation for the products that you have recently purchased in the Document Library.
Articles
With dentists placing nearly 100 million dental fillings into patients′ teeth annually in the U.S. alone, polymeric composite restoratives account for a very large share of the biomaterials market.
Global Trade Item Number
| SKU | GTIN |
|---|---|
| 436909-100ML | 04061832117430 |
| 436909-500ML | 04061832117447 |
