Skip to Content
Merck
CN

541443

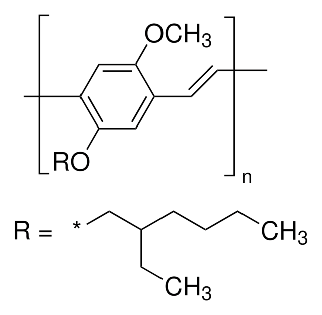
Poly[2-methoxy-5-(2-ethylhexyloxy)-1,4-phenylenevinylene]

average Mn 40,000-70,000

Synonym(s):

MEH-PPV

Sign In to View Organizational & Contract Pricing.

Select a Size

Change View

About This Item

Linear Formula:
(C18H28O2)n
CAS Number:
UNSPSC Code:
12352103
NACRES:
NA.23
MDL number:
Technical Service
Need help? Our team of experienced scientists is here for you.
Let Us Assist


description

Band gap: 2.3 eV

Quality Level

mol wt

average Mn 40,000-70,000

fluorescence

λex 493 nm; λem 554 nm in toluene

orbital energy

HOMO -5.3 eV , LUMO -3 eV 

OLED device performance

ITO/PEDOT:PSS/MEH-PPV/Al

  • Color: orange-red
  • Max. Luminance: 220 Cd/m2
  • Max. EQE: 0.3 %
  • Turn-On Voltage: 3.8 V
, ITO/PEDOT:PSS/MEH-PPV/PBO/Al
  • Color: orange-red
  • Max. Luminance: 970 Cd/m2
  • Max. EQE: 1.9 %
  • Turn-On Voltage: 2.9 V
, ITO/PEDOT:PSS/MEH-PPV/PBZT/Al
  • Color: orange-red
  • Max. Luminance: 1400 Cd/m2
  • Max. EQE: 2.5 %
  • Turn-On Voltage: 2.8 V

OPV device performance

ITO/MEH-PPV/BBL/Al

  • Short-circuit current density (Jsc): 1.98 mA/cm2
  • Open-circuit voltage (Voc): 0.93 V
  • Fill Factor (FF): 0.47
  • Power Conversion Efficiency (PCE): 1.1 %
, ITO/MEH-PPV:PC61BM(1:4)/Ca
  • Short-circuit current density (Jsc): 2 mA/cm2
  • Open-circuit voltage (Voc): 0.8 V
  • Fill Factor (FF): 0.25
  • Power Conversion Efficiency (PCE): 1.5 %

Mw/Mn

~6

storage temp.

2-8°C

SMILES string

O(CC(CCCC)CC)c1cc(c(cc1)OC)C=C

InChI

1S/C17H26O2/c1-5-8-9-14(6-2)13-19-16-10-11-17(18-4)15(7-3)12-16/h7,10-12,14H,3,5-6,8-9,13H2,1-2,4H3

InChI key

CTUSWJPWMNVXEE-UHFFFAOYSA-N

General description

MEH-PPV is a conducting organic semiconductor which has low molecular weight and hydrophobic characteristics. It is a poly(phenylenevinylene) (PPV) derivative and a conjugating polymer with highest occupied molecular orbital (HOMO) below the fermi level of gold.
Light-emitting conjugated polymer.

Application

MEH-PPV can form a nanocomposite with carbon nanotubes (CNTs) by spin coating that can be used for H2S gas sensors. It can also be used as a conducting polymer which results in the formation of a low-cost dopant free hole transporting material (HTM) for the fabrication of perovskite solar cells with a power efficiency of 9.65%. MEH-PPV can be blended with PCPDTBT for use as a sensitizer for dye sensitized photo sensors (DSPS).
Conducting polymer in solar cells and carbon nanotube OLEDs. Useful in producing bright and efficient white polymeric light emitting diodes.
Filter before application.


Still not finding the right product?


Storage Class

11 - Combustible Solids

wgk

WGK 3

flash_point_f

Not applicable

flash_point_c

Not applicable

ppe

Eyeshields, Gloves, type N95 (US)



Choose from one of the most recent versions:

Certificates of Analysis (COA)

Lot/Batch Number

Don't see the Right Version?

If you require a particular version, you can look up a specific certificate by the Lot or Batch number.

Already Own This Product?

Find documentation for the products that you have recently purchased in the Document Library.

Visit the Document Library


Articles

基于PCBM的n型半导体 - 根据PCBM库和性质查找可用的p型和n型有机半导体。

LEP支持广泛的重要应用,包括传感器、柔性 LED 显示和照明装置、光泵激光器和潜在的聚合物二极管激光器。

Self-healing soft electronic materials offer potential cost savings and reduced electronic waste.

View All Articles

Related Content


Enhancement of MEH-PPV: CNT for H2S gas sensor.
Ibrahim IM, et al.
Journal of Physics. Conference Series, 1032(1), 012003-012003 (2018)
Photoelectrochemical properties of ZnO nanocrystals/MEH-PPV composite: The effects of nanocrystals synthetic route, film deposition and electrolyte composition.
Petrella A, et al.
Thin Solid Films, 595, 157-163 (2015)
Shen, F.; et al.
Semiconductor Science and Technology, 22, L16-L16 (2006)



Global Trade Item Number

SKUGTIN
541443-1G04061832567068
541443-250MG04061832567075