Skip to Content
Merck
CN

733857

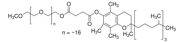
DL-α-Tocopherol methoxypolyethylene glycol succinate solution

greener alternative

2 wt. % in H2O, liquid

Synonym(s):

Polyethylene glycol, TPGS-750-M

Sign In to View Organizational & Contract Pricing.

Select a Size

Change View

About This Item

Linear Formula:
(C2H4O)nC34H56O5
CAS Number:
MDL number:
NACRES:
NA.22
UNSPSC Code:
51171641
Technical Service
Need help? Our team of experienced scientists is here for you.
Let Us Assist


Product Name

DL-α-Tocopherol methoxypolyethylene glycol succinate solution, 2 wt. % in H2O

form

liquid

Quality Level

reaction suitability

reagent type: catalyst
reaction type: Bucherer Carbazole Synthesis, reagent type: surfactant

greener alternative product characteristics

Catalysis
Learn more about the Principles of Green Chemistry.

sustainability

Greener Alternative Product

concentration

2 wt. % in H2O

refractive index

n20/D 1.336

density

1.002 g/mL at 25 °C

greener alternative category

General description

Learn More at the Professor and Product Portal of Professor Bruce Lipshutz.
We are committed to bringing you Greener Alternative Products, which adhere to one or more of The 12 Principles of Greener Chemistry. This product TPGS-750-M is a lead surfactant for many transition metal-catalyzed cross-couplings and has been enhanced for catalytic efficiency. Find details here.

Application

Second generation amphiphile which forms micelles upon dissolution in water allowing a variety of cross-coupling reactions to take place in water instead of organic solvent.

Included among the possible reactions are:
  • Olefin metathesis
  • Pd-catalyzed cross coupling reactions including Heck, Suzuki-Miyaura, Sonogashira and Buchwald-Hartwig reactions
  • C-H activation reactions

Second generation amphiphile for cross-coupling reactions in water

Other Notes

Watch Professor Lipshutz talk about TPGS-750-M in this webinar:
From milligrams to kilograms: synthetic chemistry following nature′s lead


Still not finding the right product?


Storage Class

10 - Combustible liquids

flash_point_f

Not applicable

flash_point_c

Not applicable



Choose from one of the most recent versions:

Certificates of Analysis (COA)

Lot/Batch Number

Don't see the Right Version?

If you require a particular version, you can look up a specific certificate by the Lot or Batch number.

Already Own This Product?

Find documentation for the products that you have recently purchased in the Document Library.

Visit the Document Library


Protocols

TPGS-750-M surfactant enables various reactions in water at room temperature, enhancing efficiency and versatility in synthesis.

Articles

Lipshutz及其同事最近开发了第二代技术,用于基于聚氧乙戊基-α-生育酚琥珀酸酯衍生物TPGS-750-M的原始PTS表面活性剂。

Surfactants for efficient reactions in water as a green chemistry alternative.

A variety of palladium-catalyzed cross-coupling reactions can be run under room temperature conditions in water with TPGS- 750-M, using a variety of commercially available palladium complexes and ligands.

View All Articles

Related Content

Designer surfactants enable diverse transformations like Suzuki-Miyaura, Olefin Metathesis, and 1,4-Addition to Enones in water by Prof. Bruce Lipshutz.

Amidine-based Catalysts; Advancing Sustainable Catalysis with Magnetite

Instructions





Global Trade Item Number

SKUGTIN
733857-100ML04061838069993
733857-50ML04061832867571
733857-1.5ML-KC04061838232717
733857-10ML04061838085160
733857-1L04061842293049
733857-500ML04061838098764