Skip to Content
Merck
CN

912891

High surface area conducting polyaniline

Synonym(s):

3D cross-linked polyaniline, emeraldine salt, doped by phytic acid, Conducting polymer, PAni, Polyaniline hydrogels, Self-healing polyaniline, Supercapacitor polyaniline

Sign In to View Organizational & Contract Pricing.

Select a Size

Change View

About This Item

NACRES:
NA.23
UNSPSC Code:
12352103
Technical Service
Need help? Our team of experienced scientists is here for you.
Let Us Assist


description

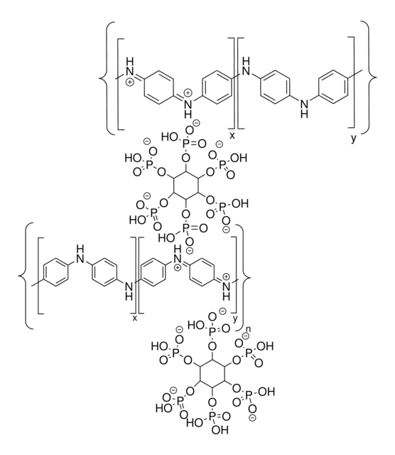
Electrochemical activity: see picture

Quality Level

form

solid

solubility

water: insoluble (swell into hydrogel)

Application

This polyaniline product is crosslinked by a dopant molecule - phytic acid, to form a highly porous 3D nanostructure. It is intrinsically conductive and has large open channels advantageous for sensing and energy storage applications. These open micro/nano channels promote the transport of electrons and facilitates the diffusion of ions, and small molecules. Additionally, pyrolyzing this polyaniline could yield highly porous 3D cross-linked graphitic carbon for a broad range of applications.
High surface area conducting polyaniline can be used as the active semiconductor layer in Organic Field-Effect Transistors (OFET) devices. In OPV devices, high surface area conducting polyaniline can be incorporated as a conductive additive or component. By adding the material to the active layer materials or the charge transport layers, it can enhance the electrical conductivity and facilitate charge extraction, contributing to improved device performance.


Storage Class

11 - Combustible Solids

wgk

WGK 3

flash_point_f

Not applicable

flash_point_c

Not applicable



Choose from one of the most recent versions:

Certificates of Analysis (COA)

Lot/Batch Number

It looks like we've run into a problem, but you can still download Certificates of Analysis from our Documents section.

If you need assistance, please contact Customer Support

Already Own This Product?

Find documentation for the products that you have recently purchased in the Document Library.

Visit the Document Library


Articles

Recent demand for electric and hybrid vehicles, coupled with a reduction in prices, has caused lithium-ion batteries (LIBs) to become an increasingly popular form of rechargeable battery technology.

Self-healing soft electronic materials offer potential cost savings and reduced electronic waste.


Jintao Zhang et al.
Nature nanotechnology, 10(5), 444-452 (2015-04-08)
The oxygen reduction reaction (ORR) and oxygen evolution reaction (OER) are traditionally carried out with noble metals (such as Pt) and metal oxides (such as RuO₂ and MnO₂) as catalysts, respectively. However, these metal-based catalysts often suffer from multiple disadvantages
3D nanostructured conductive polymer hydrogels for high-performance electrochemical devices
Zhao Y, et al.
Energy & Environmental Science, 6, 2856-2870 (2013)
Conducting-polymer-based supercapacitor devices and electrodes
Snook G A, et al.
Journal of Power Sources, 196, 1-12 (2011)



Global Trade Item Number

SKUGTIN
912891-2G04061842018871