Select a Size
About This Item
Product Name
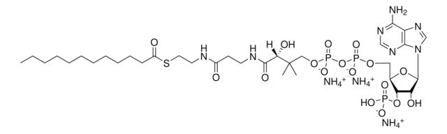
12:0 Coenzyme A, Avanti Research™ - A Croda Brand 870712P, powder
assay
>99% (TLC)
form
powder
packaging
pkg of 1 × 5 mg (870712P-5mg)
manufacturer/tradename
Avanti Research™ - A Croda Brand 870712P
application(s)
lipidomics
lipid type
coenzymes
shipped in
dry ice
storage temp.
−20°C
SMILES string
O[C@@](C(NCCC(NCCSC(CCCCCCCCCCC)=O)=O)=O)(C(C)(COP([O-])(OP([O-])(OC[C@H]([C@H]1OP([O-])(O)=O)O[C@H]([C@@H]1O)N2C3=C(C(N)=NC=N3)N=C2)=O)=O)C)[H].[NH4+].[NH4+].[NH4+]
InChI
1S/C33H58N7O17P3S.3H3N/c1-4-5-6-7-8-9-10-11-12-13-24(42)61-17-16-35-23(41)14-15-36-31(45)28(44)33(2,3)19-54-60(51,52)57-59(49,50)53-18-22-27(56-58(46,47)48)26(43)32(55-22)40-21-39-25-29(34)37-20-38-30(25)40;;;/h20-22,26-28,32,43-44H,4-19H2,1-3H3,(H,35,41)(H,36,45)(H,49,50)(H,51,52)(H2,34,37,38)(H2,46,47,48);3*1H3/t22-,26?,27+,28+,32-;;;/m1.../s1
InChI key
AEPZRRFJIKJEOI-LZDFHDLKSA-N
General description
Biochem/physiol Actions
Packaging
Legal Information
Storage Class
11 - Combustible Solids
Choose from one of the most recent versions:
Already Own This Product?
Find documentation for the products that you have recently purchased in the Document Library.
Global Trade Item Number
| SKU | GTIN |
|---|---|
| 870712P-5MG | 04061835187102 |