Select a Size
About This Item
grade
analytical standard
Quality Level
shelf life
limited shelf life, expiry date on the label
concentration
0.1 mg/mL in isooctane
application(s)
food and beverages
format
single component solution
storage temp.
−20°C
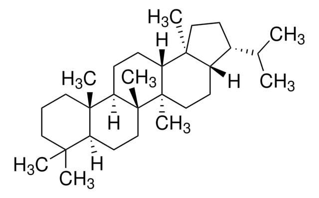
SMILES string
[H][C@@]12CC[C@]3(C)[C@]([H])(CC[C@]4([H])[C@@]5(C)CCCC(C)(C)[C@]5([H])CC[C@@]34C)[C@@]1(C)CC[C@@H]2C(C)C
InChI
1S/C30H52/c1-20(2)21-12-17-27(5)22(21)13-18-29(7)24(27)10-11-25-28(6)16-9-15-26(3,4)23(28)14-19-30(25,29)8/h20-25H,9-19H2,1-8H3/t21-,22+,23+,24-,25-,27+,28+,29-,30-/m1/s1
InChI key
ZRLNBWWGLOPJIC-PYQRSULMSA-N
General description
Application
Disclaimer
signalword
Danger
hcodes
Hazard Classifications
Aquatic Acute 1 - Aquatic Chronic 1 - Asp. Tox. 1 - Flam. Liq. 2 - Skin Irrit. 2 - STOT SE 3
target_organs
Central nervous system
Storage Class
3 - Flammable liquids
wgk
WGK 2
flash_point_f
10.4 °F - closed cup
flash_point_c
-12 °C - closed cup
ppe
Eyeshields, Faceshields, Gloves, type ABEK (EN14387) respirator filter
Regulatory Information
This item has
Choose from one of the most recent versions:
Already Own This Product?
Find documentation for the products that you have recently purchased in the Document Library.
Articles
We provide high-quality, relevant hopane reference standards to be used as biomarkers for petrochemical oil field remediation and spill analysis.
Global Trade Item Number
| SKU | GTIN |
|---|---|
| B1170000 | 04061833421499 |
| BP403 | 04061835269525 |
| B-094-1ML | 04061841811183 |
| B2635-10G | 04061833426975 |
| B2635-25G | 04061833426982 |
| 07562-1ML | 04061838648266 |



