Skip to Content
Merck
CN

P0763

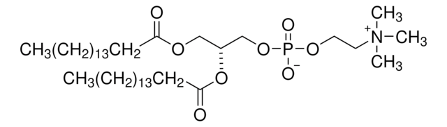
1,2-Dipalmitoyl-sn-glycero-3-phosphocholine

semisynthetic, ≥99%

Synonym(s):

PC, (7R)-4-Hydroxy-N,N,N-trimethyl-10-oxo-7-[(1-oxohexadecyl)oxy]- 3,5,9-trioxa-4-phosphapentacosan-1-aminium 4-oxide, inner salt, 1,2-Dihexadecanoyl-sn-glycero-3-phosphocholine, 1,2-Dihexadecanoyl-sn-glycero-3-phosphorylcholine, 1,2-Dipalmitoyl-sn-glycero-3-phosphorylcholine, 1,2-Dipalmitoyl-L-lecithin, L-α-Phosphatidylcholine, dipalmitoyl, L-β,γ-Dipalmitoyl-α-lecithin, DPPC, PC(16:0/16:0)

Sign In to View Organizational & Contract Pricing.

Select a Size

Change View

About This Item

Empirical Formula (Hill Notation):
C40H80NO8P
CAS Number:
Molecular Weight:
734.04
NACRES:
NA.25
PubChem Substance ID:
UNSPSC Code:
12352211
EC Number:
200-567-6
MDL number:
Technical Service
Need help? Our team of experienced scientists is here for you.
Let Us Assist


biological source

semisynthetic

Quality Level

assay

≥99%

form

powder

functional group

phospholipid

lipid type

phosphoglycerides

shipped in

ambient

storage temp.

−20°C

SMILES string

[O-]P(OCC[N+](C)(C)C)(OC[C@]([H])(OC(CCCCCCCCCCCCCCC)=O)COC(CCCCCCCCCCCCCCC)=O)=O

InChI

1S/C40H80NO8P/c1-6-8-10-12-14-16-18-20-22-24-26-28-30-32-39(42)46-36-38(37-48-50(44,45)47-35-34-41(3,4)5)49-40(43)33-31-29-27-25-23-21-19-17-15-13-11-9-7-2/h38H,6-37H2,1-5H3/t38-/m1/s1

InChI key

KILNVBDSWZSGLL-KXQOOQHDSA-N

Application


  • Effects induced by η(6)-p-cymene ruthenium(II) complexes on Langmuir monolayers mimicking cancer and healthy cell membranes do not correlate with their toxicity.: This study explores the impact of η(6)-p-cymene ruthenium(II) complexes on Langmuir monolayers, including 1,2-Dipalmitoyl-sn-glycero-3-phosphocholine (DPPC), to model cancer and healthy cell membranes, revealing insights into membrane interactions and cytotoxicity mechanisms (Wrobel et al., 2024).

  • Interaction of L-phenylalanine with carbonyl groups in mixed lipid membranes.: This research examines the interaction of L-phenylalanine with carbonyl groups in mixed lipid membranes, incorporating DPPC, to understand the role of amino acids in membrane dynamics and stability (Brandan et al., 2024).

  • Spatial Arrangement of the Drug Ibuprofen in a Model Membrane in the Presence of Lipid Rafts.: The study investigates the spatial arrangement of ibuprofen within a model membrane containing lipid rafts, with DPPC as a component, shedding light on drug-membrane interactions and the role of lipid rafts in drug delivery (Kashnik et al., 2024).



Still not finding the right product?


Storage Class

11 - Combustible Solids

wgk

WGK 3

flash_point_f

Not applicable

flash_point_c

Not applicable



Choose from one of the most recent versions:

Certificates of Analysis (COA)

Lot/Batch Number

Don't see the Right Version?

If you require a particular version, you can look up a specific certificate by the Lot or Batch number.

Already Own This Product?

Find documentation for the products that you have recently purchased in the Document Library.

Visit the Document Library



Johannes Thoma et al.
Chemical communications (Cambridge, England), 48(70), 8811-8813 (2012-07-28)
We present a model system to demonstrate that the positioning of biomolecules (membrane proteins) in a nonnative, complex thin film environment can be regulated by the phase behavior of film components. Partial separation between an amphiphilic polymer and a lipid
Edyta Paszko et al.
European journal of pharmaceutical sciences : official journal of the European Federation for Pharmaceutical Sciences, 48(1-2), 202-210 (2012-11-20)
Photodynamic therapy (PDT) is based on the delivery of photocytotoxic agents to a target tissue, followed by irradiation. In order to increase the efficiency of PDT in oesophageal cancer therapy, polyethylene glycol (PEG)-grafted, transferrin (Tf)-conjugated liposome formulations of 5,10,15,20-tetra(m-hydroxyphenyl)chlorin (Foscan)
Fernando R Moya et al.
Pediatrics, 115(4), 1018-1029 (2005-04-05)
Evidence suggests that synthetic surfactants consisting solely of phospholipids can be improved through the addition of peptides, such as sinapultide, that mimic the action of human surfactant protein-B (SP-B). A synthetic surfactant containing a mimic of SP-B may also reduce



Global Trade Item Number

SKUGTIN
P0763-250MG04061834353072
P0763-50MG04061835547265
P0763-100MG04061834353058
P0763-1G04061834353065
P0763-5G04061832796086