Skip to Content
Merck
CN

P2663

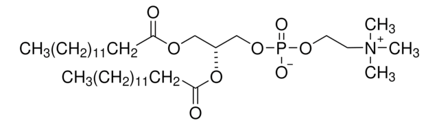
1,2-Dimyristoyl-sn-glycero-3-phosphocholine

≥99%

Synonym(s):

1,2-Ditetradecanoyl-sn-glycero-3-phosphocholine, 3-sn-Phosphatidylcholine, 1,2-dimyristoyl, L-β,γ-Dimyristoyl-α-lecithin

Sign In to View Organizational & Contract Pricing.

Select a Size

Change View

About This Item

Empirical Formula (Hill Notation):
C36H72NO8P
CAS Number:
Molecular Weight:
677.93
UNSPSC Code:
12352211
NACRES:
NA.77
PubChem Substance ID:
EC Number:
242-085-9
Beilstein/REAXYS Number:
3921768
MDL number:
Technical Service
Need help? Our team of experienced scientists is here for you.
Let Us Assist


Quality Level

assay

≥99%

form

powder

lipid type

phosphoglycerides

storage temp.

−20°C

SMILES string

[O-]P(OCC[N+](C)(C)C)(OC[C@]([H])(OC(CCCCCCCCCCCCC)=O)COC(CCCCCCCCCCCCC)=O)=O

InChI

1S/C36H72NO8P/c1-6-8-10-12-14-16-18-20-22-24-26-28-35(38)42-32-34(33-44-46(40,41)43-31-30-37(3,4)5)45-36(39)29-27-25-23-21-19-17-15-13-11-9-7-2/h34H,6-33H2,1-5H3/t34-/m1/s1

InChI key

CITHEXJVPOWHKC-UUWRZZSWSA-N

Application

1,2-Dimyristoyl-sn-glycero-3-phosphocholine has been used as a standard for phospholipid analysis by LC-ESI-MS.

Biochem/physiol Actions

1,2-Dimyristoyl-sn-glycero-3-phosphocholine (DMPC) has the ability to enhance the constancy and in vitro antiproliferative effect of carmofur.


Storage Class

11 - Combustible Solids

wgk

WGK 3

flash_point_f

Not applicable

flash_point_c

Not applicable

ppe

Eyeshields, Gloves, type N95 (US)



Choose from one of the most recent versions:

Certificates of Analysis (COA)

Lot/Batch Number

Don't see the Right Version?

If you require a particular version, you can look up a specific certificate by the Lot or Batch number.

Already Own This Product?

Find documentation for the products that you have recently purchased in the Document Library.

Visit the Document Library


Articles

Discover Bioactive Small Molecules for Lipid Signaling Research


1, 2-Dimyristoyl-sn-glycero-3-phosphocholine (DMPC) increases Carmofur stability and in vitro antiproliferative effect
Domracheva I, et al.
Toxicology Reports, 2, 377-383 (2015)
Assessment of the effects of hydrocarbon contamination on the sedimentary bacterial communities and determination of the polar lipid fraction purity: relevance of intact phospholipid analysis
Mazzella N, et al.
Marine Chemistry, 103(3-4), 304-317 (2007)
Sevim Ozgur et al.
Molecular and cellular biology, 30(17), 4308-4323 (2010-06-30)
In eukaryotic cells, degradation of many mRNAs is initiated by removal of the poly(A) tail followed by decapping and 5'-3' exonucleolytic decay. Although the order of these events is well established, we are still lacking a mechanistic understanding of how



Global Trade Item Number

SKUGTIN
P2663-100MG04061835546305
P2663-500MG04061833273425
P2663-1G04061834365143
P2663-25MG04061835558278