Skip to Content
Merck
CN

P3397

Phosphoglucomutase from rabbit muscle

ammonium sulfate suspension, ≥100 units/mg protein

Synonym(s):

PGM, α-D-Glucose-1,6-bisphosphatase, α-D-Glucose-1-phosphate phosphotransferase

Sign In to View Organizational & Contract Pricing.

Select a Size

Change View

About This Item

CAS Number:
UNSPSC Code:
12352204
NACRES:
NA.54
EC Number:
MDL number:
Specific activity:
≥100 units/mg protein
Biological source:
rabbit muscle
Technical Service
Need help? Our team of experienced scientists is here for you.
Let Us Assist


biological source

rabbit muscle

Quality Level

description

ammonium sulfate suspension, >=100 units/mg protein

form

ammonium sulfate suspension

specific activity

≥100 units/mg protein

storage condition

(Tightly closed)

technique(s)

activity assay: suitable

color

white to light yellow

foreign activity

lactic dehydrogenase ≤0.5%, phosphoglucose isomerase ≤0.01%, pyruvate kinase ≤0.05%

shipped in

wet ice

storage temp.

2-8°C

General description

Research area: Cell Signaling

Phosphoglucomutase (PGM), a conserved enzyme, is abundantly found in animals, plants, and microorganisms. It is distributed in almost all tissues.

Application

Phosphoglycomutase has been used:

  • to study glycogenesis and phosphoglycomutase deficiency in humans
  • in phosphoglucomutase assays to study metabolic regulation
  • for assay A to assay enzymes closely linked to glycogen metabolism in transformed BL21(DE3)C43 cells
  • in sucrose synthase (SuSy) andADPglucose pyrophosphorylase (AGPase) assays(3)
  • in enzyme activity assay for coupling the reduction of nicotinamide adenine dinucleotide phosphate (NADP+)to determine glucose-1-phosphate from sucrose and inorganic phosphate (Pi)

Biochem/physiol Actions

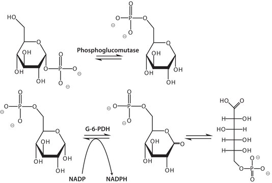
Phosphoglucomutase(PGM) enzyme plays a vital role in glycolysis and gluconeogenesis. It is involved in glycogen and trehalose metabolism in insects. PGM participates in the development of plants and some microorganisms. It is essential for proteins, lipids, and nucleic acid metabolism and is crucial for the development of plants because glucose-6-phosphate is a crucial central metabolite. PGM catalyzes the interconversion of glucose-6-phosphate (G-6-P)and glucose-1-phosphate (G-1-P).

Physical form

Crystalline suspension in 3.2 M (NH4)2SO4, pH 6.0 containing 0.01% EDTA

Analysis Note

Protein determined by biuret.

Other Notes

One unit will convert 1.0 μmole of α-D-glucose 1-phosphate to α-D-glucose 6-phosphate per min at pH 7.4 at 30 °C.


Still not finding the right product?


Storage Class

12 - Non Combustible Liquids

wgk

WGK 2

ppe

Eyeshields, Gloves, multi-purpose combination respirator cartridge (US)

Regulatory Information

低风险生物材料

This item has



Choose from one of the most recent versions:

Certificates of Analysis (COA)

Lot/Batch Number

Don't see the Right Version?

If you require a particular version, you can look up a specific certificate by the Lot or Batch number.

Already Own This Product?

Find documentation for the products that you have recently purchased in the Document Library.

Visit the Document Library


Articles

以硫酸铵悬浮液形式提供的酶的使用指南

Instructions for working with enzymes supplied as ammonium sulfate suspensions

Related Content


Phosphoglucomutase; mechanism of action.
V JAGANNATHAN et al.
The Journal of biological chemistry, 179(2), 569-575 (1949-06-01)
M B Dworkin et al.
The Journal of biological chemistry, 262(35), 17038-17045 (1987-12-15)
When 32P-labeled phosphoenolpyruvate is injected into Xenopus laevis oocytes, a 50-60-kDa protein of subunit size Mr 29,000 is rapidly labeled, followed by a second (monomeric) protein of 66 kDa concomitant with the loss of label from the first protein. We
Asbjørg Stray-Pedersen et al.
American journal of human genetics, 95(1), 96-107 (2014-06-17)
Human phosphoglucomutase 3 (PGM3) catalyzes the conversion of N-acetyl-glucosamine (GlcNAc)-6-phosphate into GlcNAc-1-phosphate during the synthesis of uridine diphosphate (UDP)-GlcNAc, a sugar nucleotide critical to multiple glycosylation pathways. We identified three unrelated children with recurrent infections, congenital leukopenia including neutropenia, B



Global Trade Item Number

SKUGTIN
P3397-500UN04061834367833
P3397-1KU04061833493106
P3397-2.5KU04061833493113
P3397-200UN04061834367826