Buchwald Catalysts & Ligands
As a chemist, you're focused on discovering new chemistry and its practical applications. We support your breakthroughs with an extensive portfolio of Buchwald catalysts and ligands. In collaboration with Stephen Buchwald and his MIT research group, we offer highly active palladium precatalysts and biaryl phosphine ligands for efficient cross-coupling reactions, forming bonds like C-C, C-N, and more. These electron-rich, tunable ligands provide stable, reactive catalyst systems, reducing catalyst loadings, reaction times, and eliminating the need for reducing agents, enabling new methods not achievable with traditional Pd sources.
Products
Products

Buchwald Ligands
The significance of the Pd-catalyzed C–N bond formation, known as the Buchwald-Hartwig Amination, lies in its transformative impact on organic chemistry, particularly in the precise synthesis of complex molecules. Buchwald and his team developed biaryl phosphine ligands that enhance the reaction’s efficiency, selectivity, and versatility. The early generation of ligands, like dicyclohexyl phosphine dimethylamine, were effective for coupling aryl chlorides with alkyl amines. Later generations of ligands, such as XPhos and di-t-BuXPhos, demonstrated enhanced activity and versatility, particularly in coupling reactions involving hindered substrates. The development of bulkier ligands improved catalytic performance, yielding higher conversions in C–N couplings. The Buchwald group also expanded C-N coupling methods by exploring copper-catalyzed N-arylation of imidazoles and other heterocycles.

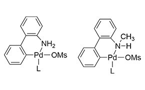
Buchwald Gen 1 Precatalysts
First-generation Buchwald precatalysts utilize ligands based on 2-phenylethan-1-amine, enhancing stability in both solution and solid phase. These precatalysts are air and moisture stable and offer the key advantage of generating Pd(0) active species without the need for exogenous additives. In the presence of a base, the LPd(0) catalyst is formed in situ through reductive elimination, producing indoline as a byproduct. While the base-promoted reductive elimination of the LPd(II) to LPd(0) and indoline can be achieved at room temperature or lower,1 higher temperatures are often employed, particularly when weaker bases are used to deprotonate the 2-phenylethan-1-amine ligand, to promote the generation of the active catalytic species.

Buchwald Gen 2 Precatalysts
Buchwald precatalysts and ligands are bulky, electron-rich dialkylbiaryl phosphine-based catalysts that enhance reactivity in Pd-catalyzed cross-coupling reactions. They are widely used in synthesizing pharmaceuticals, natural products, and polymers. The structure of the dialkylbiaryl ligand is crucial for catalyst efficiency. Second-generation precatalysts utilize a 2-aminobiphenyl instead of 2-phenylethan-1-amine as the parent aliphatic amine ligand, offering improved reactivity with weaker bases (such as phosphates or weak carbonate bases), often enabling lower activation temperatures. This enhanced reactivity is due to the higher acidity of the palladium-bound aromatic amine in the G2 precatalysts relative to the aliphatic amine in the G1 catalysts.2 Key features include air stability, high efficiency, mild reaction conditions, short reaction times, and low catalyst loadings. These precatalysts have been successfully applied in Suzuki cross-coupling reactions, yielding excellent results.

Buchwald Gen 3 and 4 Precatalysts
The G3 and G4 Buchwald precatalysts are advanced, stable palladium complexes designed for cross-coupling reactions, enabling the formation of various bonds (C-C, C-N, C-O, C-F, C-CF3, and C-S). These precatalysts offer high stability, good solubility, and often allow for lower catalyst loadings and shorter reaction times compared to earlier precatalysts.3 The G3 generation improves upon earlier generations by accommodating bulkier ligands and enhancing solubility and stability through the use of a mesylate ligand instead of a chloride ligand. The G4 precatalyst further advances this by incorporating N-methyl-2-aminobiphenyl as the parent amine, producing the more benign byproduct, N-methyl carbazole (opposed to carbazole) during activation. Both generations are effective in a wide range of coupling applications, such as Suzuki-Miyaura reactions, aminocarbonylations, and N-arylations, demonstrating broad utility in synthetic chemistry.

Buchwald Gen 6 Precatalysts
Buchwald precatalysts are essential for generating active L–Pd(0) species in cross-coupling reactions, with five generations (G1 to G5) featuring variations in N,C-chelating ligands and anions. The G6 precatalysts, classified as oxidative addition complexes (OACs), maintain advantages such as thermal and air stability while offering additional benefits like base-free activation, higher reactivity, and simplified synthesis while also avoiding the generation of carbazole byproducts during catalyst activation.4,5 G6 precatalysts allow for versatile design, accommodating bulky ligands and enhancing solubility and stability.6 They are effective in forming a variety of bonds (C-C, C-N, C-O, C-F, and C-S) with improved reactivity and yields compared to earlier generations.
The ligands, precatalysts, and methodology developed in the Buchwald group are user-friendly and have rendered previously difficult cross-coupling reactions much easier to achieve. We are pleased to offer the entire Buchwald portfolio of products royalty-free at any scale or step in the synthetic process. We′ve taken care of the intellectual property (IP) so you don′t have to. Just buy and go!
Related Resources
- G3 and G4 Buchwald Precatalysts
G3 and G4 Buchwald palladium precatalysts are the newest air, moisture, and thermally stable crossing-coupling complexes used in bond formation for their versatility and high reactivity.
- AlPhos and [(AlPhosPd)2•COD] for Pd-Catalyzed Fluorination
Fluorine containing aromatics (ArF) are desirable compounds with applications in medicinal chemistry and the agricultural industry.
- Buchwald Phosphine Ligands
Buchwald phosphine ligands for C-C, C-N, and C-O bond formation.
- Buchwald Ligands
The Pd-catalyzed C–N bond formation has become an important synthetic reaction in the past 20 years. Several research groups have investigated this reaction and developed very versatile catalysts. Buchwald and coworkers have been very active in synthesizing and developing a portfolio of phosphine ligands for this transformation and other cross-coupling reactions.
References
To continue reading please sign in or create an account.
Don't Have An Account?
