β-(1—>4)-Galactosyltransferase Kit
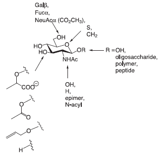
β(1→4) Galactosyltransferase from bovine milk (GalT, EC 2.4.1.22) is one of the most extensively studied mammalian glycosyltransferases with regard to synthesis and substrate specificity.1-5, 9-15 β(1→4) GalT catalyses the transfer of galactose from UDP-galactose (UDP-Gal) to the OH at the 4-position of Nacetyl glucosamine (GlcNAc) and also β-linked GlcNAc subunits to yield β-lactosamine (β-LacNAc) and β-Gal(1→4)-β-GlcNAc structures.16 When the enzyme forms a complex with α- lactalbumin, the specificity is altered and D-glucose becomes the preferred acceptor. Thus, addition of α-lactalbumin promotes the formation of lactose (β-Gal(1→4)-Glc). Both α- and β- glycosides of glucose were utilized as acceptors in enzymatic galactosidation as well. The α-glucosides required the presence of α-lactalbumin.4 Numerous other acceptor substrates for β(1→4)GalT catalyzed transfer of galactose have been described in the literature , e.g. 2-deoxyglucose, D-xylose, 5- thioglucose, N-acetylmuramic acid, and myoinositol. Moreover, 6-O-fucosylated and sialylated modifications served as acceptors17 as well as 3-O-methyl-GlcNAc,8, 18 3-deoxy-GlcNAc, 3-O-allyl-GlcNAcβOBu and 3-oxo-GlcNAc.19 Several modifications of GlcNAc that were employed as acceptor substrates are illustrated in Scheme 11 β(1→4)GalT has been employed in solid-phase oligosaccharide synthesis on polymer supports like polyacrylamide or watersoluble poly(vinyl alcohol). The resulting galactosylated oligosaccharides are cleaved from the polymers photochemically or by using chymotrypsin.20,21 N-Acetylglucosaminyl amino acids and peptides were successfully galactosylated to afford glycopeptides with a disaccharide moiety.22-24 Further extension of the carbohydrate chain was accomplished afterwards by employing α(2→6)Sialyltransferase.22-24 The preparation of an asparagine-bound trisaccharide was accomplished by combined chemo-enzymatic synthesis.22 Galactosidation of a N-acetylglucosaminyl oligopeptide followed by sialylation with α(2→3)Sialyltransferase and fucosylation with α(2→3)Fucosyltransferase yielded a glycopeptide containing a tetrasaccharide moiety.25 As different glycosides of N-acetylglucosamine and glucose can be used as acceptors in β(1→4)GalT catalyzed galactosidations, this enzymatic method was recently exploited in the modification of pharmacologically interesting glycosides.6, 7, 26, 27 Several currently published syntheses of new drug-sugar conjugates derived from the broad range of naturally occurring glycosides have accentuated the high potential of glycosylations in drug delivery, for example by increasing the solubility and bioavailability of large hydrophobic molecules under mild conditions. β(1→4)GalT catalyzed galactosidations of glycosides was successfully accomplished for elymoclavine-17-O-β-Dglucopyranoside,6 stevioside and steviolbioside,28 colchicoside,29 coumarinic glycoside fraxin,29 and different ginsenosides.30, 31

Scheme 1. Modifications of GlcNAc employed as acceptors in β(1→4)GalT catalyzed transfer of galactose.
Galactosylation of glycosides bearing a hydrophobic aglycone may suffer from poor solubility of the acceptor substrate. Recent systematic investigations of the stability of β(1→4)GalT in different aqueous reaction mixtures and the effect of organic cosolvents are very instructive for choosing an appropriate solvent mixture.29 Solvents like dimethyl sulfoxide, acetone, dioxane and ethanol seemed to be beneficial, increasing the stability of this enzyme, while other solvents such as N,Ndimethylformamide, acetonitrile and tetrahydrofuran enhanced the inactivation process. Transfer of galactose onto cyclodextrin was performed, because the recognition of the Gal-cyclodextrin conjugates by galectins was expected to enhance the drug delivery capabilities of the system.32 Employing C-glycoside analogues of the naturally occurring glycopeptide linkages (N-acetylglucosamine β-linked to either asparagine or serine) the corresponding C-lactosides were isolated in excellent yields.33 Neither D-mannose, D-allose, D-galactose, nor D-ribose are substrates.3, 4 Monosaccharides displaying a negative charge, such as glucuronic acid and α-glucose-1-phosphate are also not accepted as substrates. Azasugars and glucals are considered to be very weak acceptors.18 With regard to the nucleotide sugar donors, several modified substrates were utilized, but the rate of enzyme-catalyzed transfer turned out to be rather slow.3, 4
To continue reading please sign in or create an account.
Don't Have An Account?