Microbiological Control of Spices and Herbs
Cultures around the world rely on herbs and spices to add flavor and zest to food. Many spices, however, contain very high numbers of bacteria, making them a potent source for food spoilage and pathogens.
To study the microbiological status of herbs and spices, E. de Boer et al.1 tested 150 samples collected from 54 different spices, spice mixtures and herbs. They reported at least 1,000 organisms per gram, with most spices containing 105-106 cells per gram. A high number of psychotropic bacteria, yeasts and Enterobacteriaceae was detected mainly on herbal spices originating in moderate climate areas. The study also reported high mold counts, identifying Aspergillus niger, A. flavus, A. tamarii, Penicillium citrinium, P. chrysogenum, and Absidia corymbifera as the most frequent isolated species. Since A. flavus may produce aflatoxins, one of the most potent naturally occurring toxins, its presence should be a matter of concern and monitored closely by the spice industry. Another serious potential public health risk may involve the presence of pathogenic bacteria; frequently reported species are Clostridium perfringens, Bacillus cereus and Salmonella.
Several issues present a challenge in the microbiological study of dried herbs and spices. Dryness, inhibiting substances, high osmotic pressure, and other adverse conditions heavily stress the cells. Long stress periods can eventually lead the cells to a “viable but not culturable“ (VNC) state. In a VNC state, the microbes cannot grow on conventional laboratory plating media but may revive in vivo and cause disease. However, with the addition of certain growth factors, traditional media can be upgraded and VNC organisms can be resuscitated.
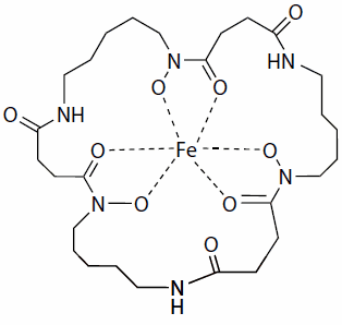
One of these growth factors is ferrioxamine E, which significantly improves the recovery of Salmonella, Cronobacter spp., Staphylococcus aureus and Yersinia enterocolitica from contaminated foods2-4. A concentration of ferrioxamine E in the range of 5-200 ng/ mL supports reproducible growth (Table 1). Ferrioxamine E provides the essential bio-available form of micronutrient iron (III) to the organisms. This leads to a reduced lag-phase in the medium and reactivates damaged bacteria, leading to optimal microbial analyses.

Figure 1.Spices of plant origin

Figure 2.Structure of ferrioxamine E

Figure 3.HiCrome™ Bacillus Agar
Materials
References
To continue reading please sign in or create an account.
Don't Have An Account?