Purification or Removal of Viruses including Adeno-associated Virus
Capto DeVirS, AVB Sepharose High Performance
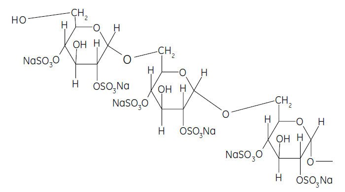
Capto DeVirS is a chromatography medium for capture and intermediate purification of virus. The dextran sulfate ligand (Figure 3.24) has affinity for several virus types, which makes Capto DeVirS suitable for different virus applications, for example vaccine manufacturing processes. The matrix of Capto DeVirS is based on highly cross-linked high-flow agarose that is highly rigid and offers outstanding pressure/flow properties, enabling rapid processing of large sample volumes.
AVB Sepharose High Performance is designed for the purification of adeno-associated virus (AAV) of subclasses 1, 2, 3, and 5. Adeno associated viruses are of increasing interest as potential vectors for gene therapy. The ligand of AVB Sepharose High Performance is a recombinant protein, Mr 14 000, attached to a highly cross-linked 6% agarose matrix via a long, hydrophilic spacer arm to make it easily available for binding of the virus (Figure 3.25).

Figure 3.24.Capto DeVirS consists of highly cross-linked agarose base matrix coupled to dextran sulfate ligand.

Figure 3.25.Partial structure of AVB Sepharose High Performance.
Chromatography media characteristics
1Short term refers to the pH interval for regeneration, cleaning-in-place, and sanitization procedures. Long term refers to the pH interval over which the medium is stable over a long period of time without adverse effects on its subsequent chromatographic performance.
Purification options
1 FFU: Fluorescence Focal Unit.
2 1 m diameter column with a 20 cm bed height at 20 °C using process buffers with the same viscosity as water.
3 Bed height 30 cm
Purification examples
Capto DeVirS was used as a capture step in the purification of influenza virus. In order to establish the optimal purification protocol, Design of Experiments (DoE) was used. The effect of running parameters on virus binding, recovery, and clearance of host cell protein (HCP) and DNA was investigated. The evaluation showed that optimum conductivity for the binding of influenza virus to Capto DeVirS was below 5 mS/cm, while optimum pH for binding and elution was pH 6.8 and pH 7.8, respectively.
Table 3.30 shows the results for the different strains of influenza virus in optimized Capto DeVirs purification.
1 FFU = Fluorescence Focal Unit.
2 HCD = Host-cell DNA
Figure 3.26A shows an example of a purification of adeno-associated virus using AVB Sepharose High Performance. Recombinant AAV1 was eluted using low pH followed by a second elution buffer containing arginine (high pH). Eluted virus was detected by ELISA and SDS-PAGE analysis (Figure 3.26B). SDS-PAGE showed three AAV viral capsid proteins, VP1, VP2, and VP3 (at Mr 87 000, 73 000, and 62 000, respectively) eluted in the initial low pH elution. An additional 6% of the bound virus eluted with the second high-pH elution containing arginine.

Figure 3.26.(A) Purification of rAAV on AVB Sepharose High Performance using low pH elution followed by high pH elution with 500 mM arginine. The absorbance at 260 and 280 nm is shown in green and blue, respectively. Conductivity is shown in red. (B) SDS-PAGE analysis on fractions collected during purification of rAAV1 on AVB Sepharose High Performance.
Performing a separation
Capto DeVirS
Sample preparation: Concentrate the clarified feed with ultrafiltration and perform a buffer exchange to the start buffer
- Equilibrate with 10 CV of binding buffer.
- Load the clarified sample.
- Wash with binding buffer until no material appears in the eluent (monitored by UV absorption at A280 nm).
- Elute with 5 to 10 CV of elution buffer.
AVB Sepharose High Performance
- Equilibrate with 10 CV of binding buffer.
- Load the clarified sample.
- Wash with binding buffer until no material appears in the eluent (monitored by UV absorption at A280 nm).
- Elute with 5 to 10 CV of elution buffer.
Note: Elution at high pH can be performed as an alternative if the virus is sensitive to low pH. The recommended elution buffer in this case is 20 mM Tris-HCl, 500 mM NaCl, 500 mM arginine, pH 10.8.
Cleaning
Cleaning and sanitization protocols should be designed for each process as the efficiency of the protocol is strongly associated with the feedstock and other related operating conditions. Suggested solutions for a contact time of at least 30 min:
Storage
Store at 4 °C to 8 °C in 20% ethanol.
Materials
To continue reading please sign in or create an account.
Don't Have An Account?