跳转至内容
Merck
CN

705470

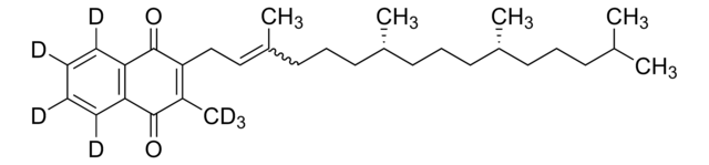
维生素K-d7 (5,6,7,8-d4, 2-甲基-d3)

99 atom % D, 97% (CP Sum of E & Z Isomers)

别名:

2-甲基-3-植基-1,4-萘醌-d7(5,6,7,8-d4,2-甲基-d3), 3-叶绿醌-d7(5,6,7,8-d4,2-甲基-d3), 叶绿醌-d7(5,6,7,8-d4,2-甲基-d3), 维生素K1-d7 (5,6,7,8-d4, 2-甲基-d3)

登录 查看组织和合同定价。

选择尺寸

变更视图

关于此项目

经验公式(希尔记法):
C31D7H39O2
化学文摘社编号:
分子量:
457.74
MDL number:
UNSPSC Code:
12352106
PubChem Substance ID:
NACRES:
NA.24
Isotopic purity:
99 atom % D
Assay:
97% (CP Sum of E & Z Isomers)
Mass shift:
M+7
Form:
liquid
技术服务
需要帮助?我们经验丰富的科学家团队随时乐意为您服务。
让我们为您提供帮助


isotopic purity

99 atom % D

Quality Level

assay

97% (CP Sum of E & Z Isomers)

form

liquid

technique(s)

mass spectrometry (MS): suitable

color

yellow to orange

mp

-20 °C

density

0.999 g/mL at 25 °C

mass shift

M+7

storage temp.

−20°C

SMILES string

[2H]c1c([2H])c([2H])c2C(=O)C(=C(C\C=C(/C)CCC[C@H](C)CCC[C@H](C)CCCC(C)C)C(=O)c2c1[2H])C([2H])([2H])[2H]

InChI

1S/C31H46O2/c1-22(2)12-9-13-23(3)14-10-15-24(4)16-11-17-25(5)20-21-27-26(6)30(32)28-18-7-8-19-29(28)31(27)33/h7-8,18-20,22-24H,9-17,21H2,1-6H3/b25-20+/t23-,24-/m1/s1/i6D3,7D,8D,18D,19D

InChI key

MBWXNTAXLNYFJB-NYKMUXSXSA-N

General description

维生素K-d7 (5,6,7,8-d4, 2-甲基-d3)是脂溶性维生素K的氘代类似物。维生素K家族由2-甲基-1,4-萘醌衍生物组成,包含两种天然同效维生素,维生素K1(叶绿醌,存在于植物中)和维生素K2 (甲萘醌,存在于动物产品中)。

Application

产品主要为 E 异构体。
维生素K-d7 (5,6,7,8-d4, 2-甲基-d3)或3-植物甲萘醌、-d7 (5,6,7,8-d4, 2-甲基-d3)可作为分析标准品对膳食补充剂、强化食品或复杂生物基质中的维生素K浓度进行定量分析。

Packaging

这种产品可以大量现货供应,也可以按需包装。有关定价、供货和包装的信息,请联系稳定同位素客户服务


存储类别

10 - Combustible liquids

wgk

WGK 2

flash_point_f

Not applicable

flash_point_c

Not applicable

法规信息

美国出口管控产品

此项目有



历史批次信息供参考:

分析证书(COA)

Lot/Batch Number

没有发现合适的版本?

如果您需要特殊版本,可通过批号或批次号查找具体证书。

已有该产品?

在文件库中查找您最近购买产品的文档。

访问文档库



Study of cytotoxic activity of new 1, 4-naphthoquinone derivatives in murine hepatoma cell line
Stadhiauskaite I, et al.
Biologija, 2, 104-108 (2006)
Role of K vitamins in the regulation of tissue calcification
Vermeer C and Braam L
Journal of Bone and Mineral Metabolism, 19(4), 201-206 (2001)
Regulation of bone remodeling by vitamin K2
Myneni VD and Mezey E
Oral Diseases, 23(8) (2017)



全球贸易项目编号

货号GTIN
705470-1MG04061826688533
705470-5MG04061833239421