跳转至内容
Merck
CN

749966

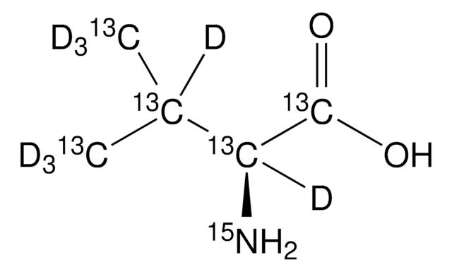
L-Valine-13C5,15N,2,3,4,4,4-d5-(4-methyl-d3)

98 atom % D, 99 atom % 13C, 98 atom % 15N, 95% (CP)

别名:

(S)-α-Aminovaleric acid-13C5,15N,2,3,3,4,4,4-d5,4-methyl-d3, L-2-Amino-3-methylbutanoic acid-13C5,15N,2,3,3,4,4,4-d5,4-methyl-d3

登录 查看组织和合同定价。

关于此项目

线性分子式:
(13CD3)213CD13CD(15NH2)13COOH
分子量:
131.15
PubChem Substance ID:
UNSPSC Code:
12352116
Isotopic purity:
99 atom % 13C, 98 atom % 15N, 98 atom % D
Assay:
95% (CP)
Mass shift:
M+14
Form:
solid


isotopic purity

99 atom % 13C, 98 atom % 15N, 98 atom % D

assay

95% (CP)

form

solid

technique(s)

bio NMR: suitable

mp

295-300 °C (subl) (lit.)

mass shift

M+14

SMILES string

O[13C]([13C@]([15NH2])([2H])[13C]([2H])([13C]([2H])([2H])[2H])[13C]([2H])([2H])[2H])=O

InChI

1S/C5H11NO2/c1-3(2)4(6)5(7)8/h3-4H,6H2,1-2H3,(H,7,8)/t4-/m0/s1/i1+1D3,2+1D3,3+1D,4+1D,5+1,6+1

InChI key

KZSNJWFQEVHDMF-BJZWQILWSA-N

Packaging

This product may be available from bulk stock and can be packaged on demand. For information on pricing, availability and packaging, please contact Stable Isotopes Customer Service.


存储类别

11 - Combustible Solids

wgk

WGK 1

flash_point_f

Not applicable

flash_point_c

Not applicable



历史批次信息供参考:

分析证书(COA)

Lot/Batch Number

没有发现合适的版本?

如果您需要特殊版本,可通过批号或批次号查找具体证书。

已有该产品?

在文件库中查找您最近购买产品的文档。

访问文档库