form
liquid
reaction suitability
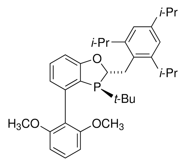
reaction type: Buchwald-Hartwig Cross Coupling Reaction, reaction type: Heck Reaction, reaction type: Hiyama Coupling, reaction type: Negishi Coupling, reaction type: Sonogashira Coupling, reaction type: Stille Coupling, reaction type: Suzuki-Miyaura Coupling, reagent type: ligand
transition temp
flash point 42.0 °F
functional group
phosphine
storage temp.
2-8°C
SMILES string
COC(C=CC=C1OC)=[C@]1[C@@]2=C([P@](C(C)(C)C)[C@@H](CC3=C(C(C)C)C=C(C(C)C)C=C3C(C)C)O4)C4=CC=C2
Application
HandaPhos is a monophosphine ligand. As reported by Lipshutz and coworkers, HandaPhos, in tandem with designer surfactant TPGS-750-M, allows for palladium-catalyzed cross-couplings to be performed at room temperature requiring levels of palladium lower than 1000 ppm (less than 0.1 mol %). HandaPhos can be used in cross-couplings such as Suzuki-Miyaura, Sonogashira, Buchwald-Hartwig and several other commonly used cross-coupling reactions.
Other Notes
Watch Professor Lipshutz talk about HandaPhos in this webinar:
From milligrams to kilograms: synthetic chemistry following nature′s lead
From milligrams to kilograms: synthetic chemistry following nature′s lead
signalword
Danger
Hazard Classifications
Aquatic Chronic 3 - Asp. Tox. 1 - Flam. Liq. 2 - Repr. 2 - Skin Irrit. 2 - STOT RE 2 - STOT SE 3
target_organs
Central nervous system
存储类别
3 - Flammable liquids
wgk
WGK 3
flash_point_f
41.0 °F
flash_point_c
5 °C
法规信息
易制毒化学品(3类)
危险化学品
此项目有
相关内容
Designer surfactants enable diverse transformations like Suzuki-Miyaura, Olefin Metathesis, and 1,4-Addition to Enones in water by Prof. Bruce Lipshutz.
Micellar catalysis-enabled sustainable ppm Au-catalyzed reactions in water at room temperature.
Klumphu P, et al.
Chemical Science, 8(9), 6354-6358 (2017)
Synthetic Chemistry in a Water World. New Rules Ripe for Discovery.
Lipshutz B H
Current opinion in green and sustainable chemistry., 11, 1-8 (2018)
Sustainable HandaPhos-ppm Palladium Technology for Copper-Free Sonogashira Couplings in Water under Mild Conditions.
Handa S, et al.
Organic Letters, 20 (3), 542?545-542?545 (2018)
全球贸易项目编号
| 货号 | GTIN |
|---|---|
| 808423-1ML | 04061824810103 |


