产品名称
EPhos Pd G4, 95%
Quality Level
product line
Buchwald precatalyst Generation 4
assay
95%
form
powder or crystals
feature
generation 4
reaction suitability
core: palladium, reagent type: catalyst
reaction type: Cross Couplings
mp
204 °C
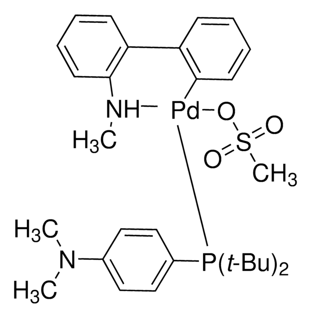
SMILES string
O=S(=O)([O-][Pd+2]1([C-]=2C=CC=CC2C=3C=CC=CC3[NH]1C)[P](C4=CC=C(C=C4)N(C)C)(C(C)(C)C)C(C)(C)C)C
InChI
1S/C16H28NP.C13H12N.CH4O3S.Pd/c1-15(2,3)18(16(4,5)6)14-11-9-13(10-12-14)17(7)8;1-14-13-10-6-5-9-12(13)11-7-3-2-4-8-11;1-5(2,3)4;/h9-12H,1-8H3;2-7,9-10,14H,1H3;1H3,(H,2,3,4);/q;-1;;+2/p-1
InChI key
MLEINNWTBGCQPS-UHFFFAOYSA-M
Application
存储类别
11 - Combustible Solids
flash_point_f
Not applicable
flash_point_c
Not applicable
商品
G3和G4 Buchwald预催化剂是一类最新的空气、湿度和热稳定型交叉偶联复合物,可用于键形成以实现其多功能性和高反应性。
G3 and G4 Buchwald palladium precatalysts are the newest air, moisture, and thermally stable crossing-coupling complexes used in bond formation for their versatility and high reactivity.
相关内容
The Buchwald group has developed a series of highly active and versatile palladium precatalysts and biarylphosphine ligands used in cross-coupling reactions for the formation of C-C, C–N, C–O, C–F, C–CF3, and C–S bonds. The ligands are electron-rich, and highly tunable to provide catalyst systems with a diverse scope, high stability and reactivity. Furthermore, the new series of precatalysts are air-, moisture and thermally-stable and display good solubility in common organic solvents. The use of precatalysts ensures the efficient generation of the active catalytic species and allows one to accurately adjust the ligand:palladium ratio. The ligands, precatalysts and methodology developed in the Buchwald group are user friendly and have rendered previously difficult cross couplings reactions, much easier to achieve.
全球贸易项目编号
| 货号 | GTIN |
|---|---|
| 900608-1G | 04061824069242 |
| 900608-250MG | 04061833258033 |