跳转至内容
Merck
CN

900693

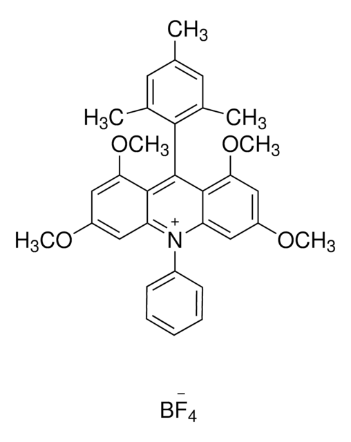
9-均三甲苯基-1,3,6,8-四甲氧基-10-苯基吖啶-10-四氟硼酸铵

95%, powder or crystals

登录 查看组织和合同定价。

选择尺寸

变更视图

关于此项目

经验公式(希尔记法):
C32H32NO4BF4
化学文摘社编号:
分子量:
581.41
MDL number:
UNSPSC Code:
12161600
NACRES:
NA.22
技术服务
需要帮助?我们经验丰富的科学家团队随时乐意为您服务。
让我们为您提供帮助


产品名称

9-均三甲苯基-1,3,6,8-四甲氧基-10-苯基吖啶-10-四氟硼酸铵, 95%

Quality Level

assay

95%

form

powder or crystals

reaction suitability

core: acridinium, reagent type: catalyst
reaction type: Photocatalysis

photocatalyst activation

450 nm

SMILES string

CC1=CC(C)=CC(C)=C1C2=C(C(OC)=CC(OC)=C3)C3=[N+](C4=CC=CC=C4)C5=CC(OC)=CC(OC)=C52.FB(F)F.[F-]

InChI

1S/C32H32NO4.BF3.FH/c1-19-13-20(2)29(21(3)14-19)32-30-25(15-23(34-4)17-27(30)36-6)33(22-11-9-8-10-12-22)26-16-24(35-5)18-28(37-7)31(26)32;2-1(3)4;/h8-18H,1-7H3;;1H/q+1;;/p-1

InChI key

HCYMGKLDRBXSLK-UHFFFAOYSA-M

Application

Nicewicz及其同事报道了一种强大的吖啶光催化剂,可作为过渡金属光催化剂的替代品,具有更高的化学稳定性和减弱的氧化还原电位。

产品适配我们的光反应器系列:包括Penn PhD(Z744035)& SynLED 2.0 (Z744080


存储类别

11 - Combustible Solids

wgk

WGK 3

flash_point_f

Not applicable

flash_point_c

Not applicable



历史批次信息供参考:

分析证书(COA)

Lot/Batch Number

没有发现合适的版本?

如果您需要特殊版本,可通过批号或批次号查找具体证书。

已有该产品?

在文件库中查找您最近购买产品的文档。

访问文档库


相关内容

Nicewicz lab focuses on reactive cation radical species for selective reactions, advancing synthesis methodologies for various functional groups.





全球贸易项目编号

货号GTIN
900693-250MG04061833259306