跳转至内容
Merck
CN

902314

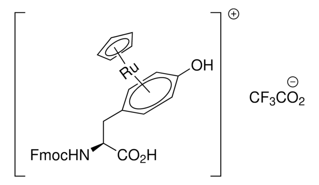
[CpRu(Fmoc-tyrosin)]CF3CO2

别名:

Fmoc-protected ruthenium tyrosine amino acid derivative, Peptide radiolabel precursor, [18F]Fluorophenylalanine peptide residue precursor

登录 查看组织和合同定价。

选择尺寸

变更视图

关于此项目

经验公式(希尔记法):
C31H26F3NO7Ru
分子量:
682.61
UNSPSC Code:
12352209
NACRES:
NA.26
技术服务
需要帮助?我们经验丰富的科学家团队随时乐意为您服务。
让我们为您提供帮助


form

powder

reaction suitability

reaction type: Fmoc solid-phase peptide synthesis

mp

>300 °C

application(s)

peptide synthesis

functional group

Fmoc

storage temp.

2-8°C

SMILES string

O[C]1[CH][CH][C](CC(NC(OCC2C(C=CC=C3)=C3C4=C2C=CC=C4)=O)C(O)=O)[CH][CH]1.F[C-](F)F.O=C=O.[Ru+].c5cccc5

Application

The Ritter lab has developed a new method for direct labeling of polypeptides with the [18F]fluoride radiolabel. This Fmoc-protected ruthenium tyrosine is first incorporated into peptides, which is amenable to standard solid-phase peptide synthesis (SPPS) and is tolerant of all 20 canonical amino acids. Subsequent replacement of a single hydrogen with fluorine-18, with only minimal perturbation of the peptide structure, results in a site-specific, radiolabeled peptide tracer for use with positron emission tomography (PET) imaging in the study of various biological applications.

Legal Information

Patent Application EP18204755.5
This product is manufactured pursuant to a license with Studiengesellschaft Kohle mbH

Disclaimer

Research quantities limited to 10 g.


存储类别

11 - Combustible Solids

wgk

WGK 3

flash_point_f

Not applicable

flash_point_c

Not applicable

法规信息

新产品

此项目有



历史批次信息供参考:

分析证书(COA)

Lot/Batch Number

没有发现合适的版本?

如果您需要特殊版本,可通过批号或批次号查找具体证书。

已有该产品?

在文件库中查找您最近购买产品的文档。

访问文档库



Jens Rickmeier et al.
Angewandte Chemie (International ed. in English), 57(43), 14207-14211 (2018-09-07)
Radiolabeled receptor-binding peptides are an important class of positron emission tomography tracers owing to achievable high binding affinities and their rapid blood clearance. Herein, a method to introduce a 4-[18 F]fluoro-phenylalanine residue into peptide sequences is reported, by chemoselective radio-deoxyfluorination



全球贸易项目编号

货号GTIN
902314-100MG04061838636003
902314-500MG04061838636089