跳转至内容
Merck
CN

913057

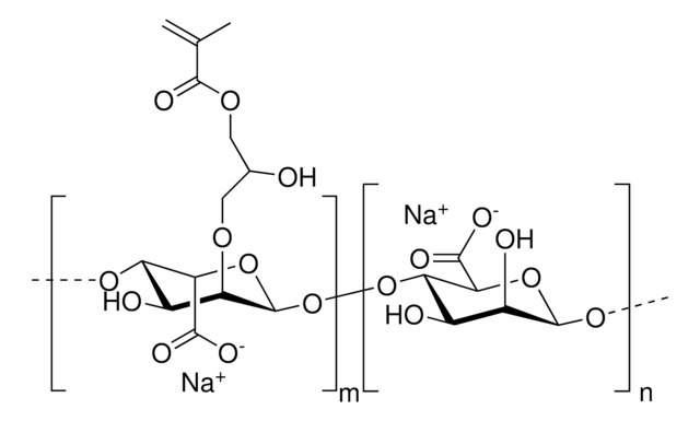
Alginate methacrylate

medium viscosity, average degree of methacrylation 25%

别名:

AlMA, AlginateMA, Alginte, Methacrylate-modified alginate, Methacrylated alginate, Alginate / Alginic acid

登录 查看组织和合同定价。

选择尺寸

变更视图

关于此项目

线性分子式:
(C13H17O10Na)m(C6H7O7Na)n
NACRES:
NA.23
UNSPSC Code:
12352201
技术服务
需要帮助?我们经验丰富的科学家团队随时乐意为您服务。
让我们为您提供帮助


form

(Powder or chunk(s) or fibers)

color

light yellow

suitability

conforms to structure for NMR

storage temp.

−20°C

Application

Alginate is an anionic polysaccharide that is widely used in pharmaceutical and biomedical applications due to its non-animal origin, low toxicity, biocompatibility, and biodegradability. Alginate hydrogels are commonly used to fabricate tissue engineering scaffolds, bioinks for 3D bioprinting, and nanocarriers for drug & gene delivery. While alginate is commonly crosslinked into a hydrogel via ionic-crosslinking with divalent cations (e.g., Ca2+), these gels feature limited long-term stability due to exchange reactions and migration of divalent cations from the alginate matrix. To prevent matrix degradation, alginate can be functionalized with reactive groups that can be chemically crosslinked, such as methacrylates. Methacrylate-functionalized alginate can be used to prepare hydrogels by thermal or photochemical crosslinking of the terminal methacrylates. Properties of the resulting hydrogel (e.g., stiffness, swelling ratio, rate of degradation) can be tuned by alginate molecular weight, degree of methacrylate functionalization, and crosslink density.


Still not finding the right product?

Explore all of our products under


存储类别

11 - Combustible Solids

wgk

WGK 3

flash_point_f

Not applicable

flash_point_c

Not applicable

法规信息

新产品

此项目有



历史批次信息供参考:

分析证书(COA)

Lot/Batch Number

It looks like we've run into a problem, but you can still download Certificates of Analysis from our 文件 section.

如需帮助,请联系 客户支持

已有该产品?

在文件库中查找您最近购买产品的文档。

访问文档库



Alginate derivatization: A review of chemistry, properties and applications
Biomaterials, 33, 3279-3305 (2012)
Photocrosslinkable polysaccharides for in situ hydrogel formation
Journal of Biomedical Materials Research Part A, 54 (1), 115-112 (2001)
Andrew D Rouillard et al.
Tissue engineering. Part C, Methods, 17(2), 173-179 (2010-08-14)
Methods for seeding high-viability (>85%) three-dimensional (3D) alginate-chondrocyte hydrogel scaffolds are presented that employ photocrosslinking of methacrylate-modified alginate with the photoinitiator VA-086. Comparison with results from several other photoinitiators, including Irgacure 2959, highlights the role of solvent, ultraviolet exposure, and



全球贸易项目编号

货号GTIN
913057-1G04061841710875