跳转至内容
Merck
CN

920819

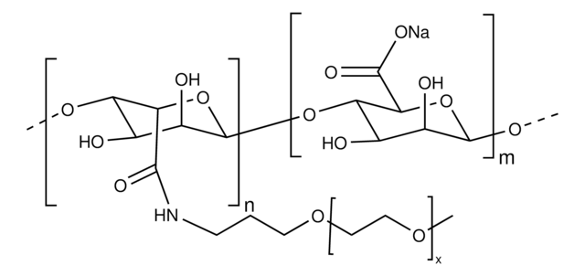
mPEG functionalized alginate

5% +/- 2% PEGylation, PEG average Mn 1k

别名:

PEGylated alginate, PEGylated low viscosity alginate, PEGylated sodium alginate, Alginate / Alginic acid

登录 查看组织和合同定价。

选择尺寸

变更视图

关于此项目

线性分子式:
{C6H7O5[NHCH2CH2CH2O(CH2CH2O)xCH3]}n(C6H7O6Na)m
NACRES:
NA.23
UNSPSC Code:
12352201
技术服务
需要帮助?我们经验丰富的科学家团队随时乐意为您服务。
让我们为您提供帮助


Quality Level

form

(solid or chunk(s) or fiber)

mol wt

PEG average Mn 1k

color

white to off-white

storage temp.

2-8°C

Application

Alginate is biocompatible and biodegradable, and forms hydrogels in the presence of divalent cations (e.g., Ca2+, Ba2+) under mild temperature and pH conditions. mPEG functionalized alginate can used to tune the stress relaxation of alginate hydrogels, and can used to fabricate microparticles with better mechanical properties.


存储类别

11 - Combustible Solids

wgk

WGK 3

flash_point_f

Not applicable

flash_point_c

Not applicable

法规信息

新产品

此项目有



历史批次信息供参考:

分析证书(COA)

Lot/Batch Number

It looks like we've run into a problem, but you can still download Certificates of Analysis from our 文件 section.

如需帮助,请联系 客户支持

已有该产品?

在文件库中查找您最近购买产品的文档。

访问文档库



Solène Passemard et al.
Biomacromolecules, 18(9), 2747-2755 (2017-07-26)
The production of hydrogel microspheres (MS) for cell immobilization, maintaining the favorable properties of alginate gels but presenting enhanced performance in terms of in vivo durability and physical properties, is desirable to extend the therapeutic potential of cell transplantation. A
Xu Jia et al.
ACS biomaterials science & engineering, 2(9), 1641-1648 (2016-09-12)
Theranostic nanomedicine has recently emerged as an appealing approach for tumor chemotherapy. Here, for the first time, fluorescent carbon dots (Cdots) were used as cross-linker for tumor theranostic nanoparticles. Novel theranostic nanoparticles of approximately 27 nm with a doxorubicin (DOX)
Redouan Mahou et al.
Materials (Basel, Switzerland), 7(1), 275-286 (2014-01-09)
The progress of medical therapies, which rely on the transplantation of microencapsulated living cells, depends on the quality of the encapsulating material. Such material has to be biocompatible, and the microencapsulation process must be simple and not harm the cells.



全球贸易项目编号

货号GTIN
920819-1G04065266120929