跳转至内容
Merck
CN

840030P

Avanti

06:0 PS

Avanti Research - A Croda Brand

别名:

PS(6:0/6:0)

登录 查看组织和合同定价。

选择尺寸

变更视图

关于此项目

经验公式(希尔记法):
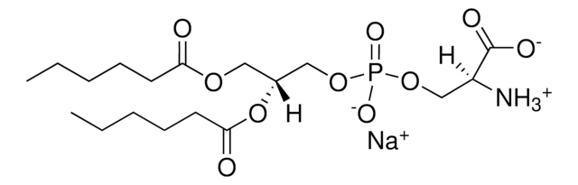
C18H33NO10PNa
化学文摘社编号:
分子量:
477.42
UNSPSC Code:
51191904
NACRES:
NA.25
技术服务
需要帮助?我们经验丰富的科学家团队随时乐意为您服务。
让我们为您提供帮助


产品名称

06:0 PS, 1,2-dihexanoyl-sn-glycero-3-phospho-L-serine (sodium salt), powder

assay

>99% (TLC)

form

powder

packaging

pkg of 1 × 10 mg (840030P-10mg), pkg of 1 × 25 mg (840030P-25mg)

manufacturer/tradename

Avanti Research - A Croda Brand 840030P

lipid type

phospholipids
cardiolipins

shipped in

dry ice

storage temp.

−20°C

SMILES string

[H][C@@](COP([O-])(OC[C@](C([O-])=O)([H])[NH3+])=O)(OC(CCCCC)=O)COC(CCCCC)=O.[Na+]

InChI

1S/C18H34NO10P.Na/c1-3-5-7-9-16(20)26-11-14(29-17(21)10-8-6-4-2)12-27-30(24,25)28-13-15(19)18(22)23;/h14-15H,3-13,19H2,1-2H3,(H,22,23)(H,24,25);/q;+1/p-1/t14-,15+;/m1./s1

InChI key

OPDYVXCKOQKYDZ-LIOBNPLQSA-M

General description

Phosphatidylserine (PS) is an acidic phospholipid. Approximately 15–33 mol% of PS is present in the inner leaflet of the plasma membrane.

Application

06:0 PS may be used to study its effect on α-syn (α-synuclein) oligomerization by DA (dopamine) and as a phospholipid substrate to determine the kinetic parameters for phospholipase C by chromogenic assay. It has also been used in the preparation of phospholipid vesicles.

Biochem/physiol Actions

Phosphatidylserine (PS) participates in several signaling pathways. This membrane phospholipid controls the Akt (protein kinase B) phosphorylation process.

Packaging

5 mL Clear Glass Sealed Ampule (840030P-10mg)
5 mL Clear Glass Sealed Ampule (840030P-25mg)

Legal Information

Avanti Research is a trademark of Avanti Polar Lipids, LLC


Still not finding the right product?

Explore all of our products under


存储类别

11 - Combustible Solids



历史批次信息供参考:

分析证书(COA)

Lot/Batch Number

It looks like we've run into a problem, but you can still download Certificates of Analysis from our 文件 section.

如需帮助,请联系 客户支持

已有该产品?

在文件库中查找您最近购买产品的文档。

访问文档库


商品

The critical micelle concentration (CMC) can be approximately defined as the lipid monomer concentration at which appreciable amounts (>5% of total) of micellar aggregates first begin to appear in the equilibrium: nM1<=>Mn


Akt-GSK3 beta Pro-survival Signaling Pathway in Cerebral Ischemic Injury
Primer on Kidney Diseases, Volume 953, 269-272 (2017)
Chi L L Pham et al.
Bioscience reports, 33(5) (2013-09-27)
The deposition of α-syn (α-synuclein) as amyloid fibrils and the selective loss of DA (dopamine) containing neurons in the substantia nigra are two key features of PD (Parkinson's disease). α-syn is a natively unfolded protein and adopts an α-helical conformation
Analysis of complex lipidomes
Medical Applications of Mass Spectrometry, 223-249 (2008)



全球贸易项目编号

货号GTIN
840030P-10MG04061835228539
840030P-25MG04061835228546