跳转至内容
Merck
CN

850174P

Avanti

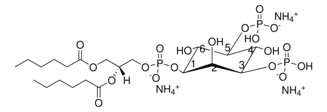
06:0 PI(3,5)P2

Avanti Research - A Croda Brand

别名:

PIP2[3′,5′](6:0/6:0)

登录 查看组织和合同定价。

选择尺寸

变更视图

关于此项目

经验公式(希尔记法):
C21H50N3O19P3
化学文摘社编号:
分子量:
741.55
MDL number:
UNSPSC Code:
51191904
NACRES:
NA.25
技术服务
需要帮助?我们经验丰富的科学家团队随时乐意为您服务。
让我们为您提供帮助


description

1,2-dihexanoyl-sn-glycero-3-phospho-(1′-myo-inositol-3′,5′-bisphosphate) (ammonium salt)

assay

>99% (TLC)

form

powder

packaging

pkg of 1 × 100 μg (with stopper and crimp cap (850174P-100ug)), pkg of 1 × 500 μg (with stopper and crimp cap (850174P-500ug))

manufacturer/tradename

Avanti Research - A Croda Brand

lipid type

phospholipids
cardiolipins

shipped in

dry ice

storage temp.

−20°C

SMILES string

[H][C@@](COP([O-])(O[C@H]1[C@H](O)[C@@H](OP(O)([O-])=O)[C@H](O)[C@@H](OP([O-])(O)=O)[C@H]1O)=O)(OC(CCCCC)=O)COC(CCCCC)=O.[NH4+].[NH4+].[NH4+]

General description

Inositol phospholipid species are membrane-bound signaling molecules that have been implicated in almost all aspects of cellular physiology, including cellular growth, metabolism, proliferation, and survival.
Phosphatidylinositol 3,5-bisphosphate (PI(3,5)P2) is an inositol phospholipid, which accounts for approximately 0.05-0.1% of total cellular phosphatidylinositol (PI). In fungi and higher eukaryotes, this less abundant phosphoinositide is present in the endosomal and lysosomal membranes.

Biochem/physiol Actions

Phosphatidylinositol 3,5-bisphosphate (PI(3,5)P2) is capable of activating ion channels on endosomes and lysosomes. It also activates mammalian target of rapamycin complex 1 (mTORC1) in yeast and in some mammalian cell types.

Packaging

2 mL Amber Serum Vial with Stopper and Crimp Cap (850174P-100ug)
2 mL Amber Serum Vial with Stopper and Crimp Cap (850174P-500ug)

Legal Information

Avanti Research is a trademark of Avanti Polar Lipids, LLC


存储类别

11 - Combustible Solids



历史批次信息供参考:

分析证书(COA)

Lot/Batch Number

It looks like we've run into a problem, but you can still download Certificates of Analysis from our 文件 section.

如需帮助,请联系 客户支持

已有该产品?

在文件库中查找您最近购买产品的文档。

访问文档库



Sheena Claire Li et al.
Molecular biology of the cell, 25(8), 1251-1262 (2014-02-14)
Vacuolar proton-translocating ATPases (V-ATPases) are highly conserved, ATP-driven proton pumps regulated by reversible dissociation of its cytosolic, peripheral V1 domain from the integral membrane V(o) domain. Multiple stresses induce changes in V1-V(o) assembly, but the signaling mechanisms behind these changes
Gerald R V Hammond et al.
Science (New York, N.Y.), 337(6095), 727-730 (2012-06-23)
The quantitatively minor phospholipid phosphatidylinositol (4,5)-bisphosphate [PI(4,5)P(2)] fulfills many cellular functions in the plasma membrane (PM), whereas its synthetic precursor, phosphatidylinositol 4-phosphate (PI4P), has no assigned PM roles apart from PI(4,5)P(2) synthesis. We used a combination of pharmacological and chemical



全球贸易项目编号

货号GTIN
850174P-100UG04061835229734
850174P-500UG04061835229741