跳转至内容
Merck
CN

850182P

Avanti

08:0 PI(4)P

Avanti Research - A Croda Brand

别名:

PIP[4′](8:0/8:0)

登录 查看组织和合同定价。

选择尺寸

变更视图

关于此项目

经验公式(希尔记法):
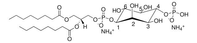
C25H54N2O16P2
化学文摘社编号:
分子量:
700.65
MDL number:
UNSPSC Code:
51191904
NACRES:
NA.25
技术服务
需要帮助?我们经验丰富的科学家团队随时乐意为您服务。
让我们为您提供帮助


description

1,2-dioctanoyl-sn-glycero-3-phospho-(1′-myo-inositol-4′-phosphate) (ammonium salt)

assay

>99% (TLC)

form

powder

packaging

pkg of 1 × 100 μg (with stopper and crimp cap (850182P-100ug)), pkg of 1 × 500 μg (with stopper and crimp cap (850182P-500ug))

manufacturer/tradename

Avanti Research - A Croda Brand

lipid type

phospholipids
cardiolipins

shipped in

dry ice

storage temp.

−20°C

SMILES string

[H][C@@](COP([O-])(O[C@H]1[C@H](O)[C@@H](O)[C@H](OP([O-])(O)=O)[C@@H](O)[C@H]1O)=O)(OC(CCCCCCC)=O)COC(CCCCCCC)=O.[NH4+].[NH4+]

InChI

1S/C25H48O16P2.2H3N/c1-3-5-7-9-11-13-18(26)37-15-17(39-19(27)14-12-10-8-6-4-2)16-38-43(35,36)41-25-22(30)20(28)24(21(29)23(25)31)40-42(32,33)34;;/h17,20-25,28-31H,3-16H2,1-2H3,(H,35,36)(H2,32,33,34);2*1H3/t17-,20-,21+,22-,23-,24+,25+;;/m1../s1

InChI key

GRYUDEZZGXKOJR-JHABFHEXSA-N

General description

08:0 PIP是一种磷酸肌醇磷酸盐(PIP)。在原核生物中,PI是由分枝杆菌和其他细菌属合成的。
肌醇磷脂物质是膜结合的信号分子,它参与细胞生理学的几乎所有方面,包括细胞生长、代谢、增殖和存活。

Application

08:0 PIP已用于制备用于脂质结合测定的多层囊泡脂质体(MLV)。它还适用于形成蛋白质-脂质管,并检查荧光光谱以分析Osh1 OSBP相关结构域(ORD)的PIP/固醇交换性质

Biochem/physiol Actions

08:0 PIP可以控制离子通道活性。具有短酰基链的磷酸肌醇磷酸酯(PIP)可溶于水,可用于可逆转运到质膜中。

Packaging

带塞子和压接盖的2 mL棕色血清瓶(850182P-100ug)
带塞子和压接盖的2 mL棕色血清瓶(850182P-500ug)

Legal Information

Avanti Research is a trademark of Avanti Polar Lipids, LLC


存储类别

11 - Combustible Solids

wgk

WGK 3

flash_point_f

No data available

flash_point_c

No data available



历史批次信息供参考:

分析证书(COA)

Lot/Batch Number

It looks like we've run into a problem, but you can still download Certificates of Analysis from our 文件 section.

如需帮助,请联系 客户支持

已有该产品?

在文件库中查找您最近购买产品的文档。

访问文档库



Short-chain phosphoinositide partitioning into plasma membrane models
Collins MD and Gordon SE
Biophysical Journal, 105(11), 2485-2494 (2013)
An endophilin-dynamin complex promotes budding of clathrin-coated vesicles during synaptic vesicle recycling
Sundborger A, et al.
Journal of Cell Science, 124(1), 133-143 (2011)
Intracellular traffic of the lysine and glutamic acid rich protein KERP1 reveals features of endomembrane organization in Entamoeba histolytica
Perdomo D, et al.
Cellular Microbiology, 18(8), 1134-1152 (2016)



全球贸易项目编号

货号GTIN
850182P-100UG04061835229796
850182P-500UG04061835229802