跳转至内容
Merck
CN

857131P

Avanti

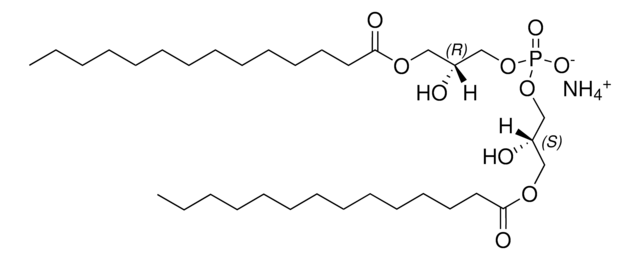
14:0 BMP (S,R)

Avanti Research - A Croda Brand

别名:

Bis(monoacylglycerol)phosphate, sn-(3-tetradecanoyl-2-hydroxy)-glycerol-1-phospho-sn-3′-(1′-tetradecanoyl-2′-hydroxy)-glycerol (ammonium salt); lysobisphosphatidic acid; LBPA; 110857

登录 查看组织和合同定价。

选择尺寸

变更视图

关于此项目

经验公式(希尔记法):
C34H70NO10P
化学文摘社编号:
分子量:
683.89
UNSPSC Code:
51191904
NACRES:
NA.25
技术服务
需要帮助?我们经验丰富的科学家团队随时乐意为您服务。
让我们为您提供帮助


产品名称

14:0 BMP (S,R), bis(monomyristoylglycero)phosphate (S,R Isomer) (ammonium salt), powder

assay

>99% (BMP (contains 30% positional isomers), TLC)

form

powder

packaging

pkg of 1 × 10 mg (857131P-10mg), pkg of 1 × 5 mg (857131P-5mg)

manufacturer/tradename

Avanti Research - A Croda Brand 857131P

lipid type

cardiolipins
phospholipids

shipped in

dry ice

storage temp.

−20°C

SMILES string

[H][C@@](COP(OC[C@@]([H])(O)COC(CCCCCCCCCCCCC)=O)([O-])=O)(O)COC(CCCCCCCCCCCCC)=O.[NH4+]

InChI

1S/C34H67O10P.H3N/c1-3-5-7-9-11-13-15-17-19-21-23-25-33(37)41-27-31(35)29-43-45(39,40)44-30-32(36)28-42-34(38)26-24-22-20-18-16-14-12-10-8-6-4-2;/h31-32,35-36H,3-30H2,1-2H3,(H,39,40);1H3/t31-,32+;

InChI key

NNTPILCZAQYMLP-CWZMXPKOSA-N

General description

Bis(monoacylglycerol)phosphate (BMP)/lysobisphosphatidic acid is a phospholipid, that has two phosphate-linked glycerol molecules. This phosphate-linked glycerol molecules are present in an unusual sn-1 glycerophospho-sn-1′ glycerol stereo conformation, and each glycerol molecule esterified with fattyacid. It is usually seen in the intraluminal vesicles (ILVs) of late endosomes and lysosomes.

Biochem/physiol Actions

Bis(monoacylglycerol)phosphate (BMP)/lysobisphosphatidic acid actively participates in cargo sorting by inducing the degradation and sorting of lipids. It also plays a major role in polyunsaturated fatty acid (PUFA) sorting in acidic organelles.

Packaging

5 mL Amber Glass Screw Cap Vial (857131P-10mg)
5 mL Amber Glass Screw Cap Vial (857131P-5mg)

Legal Information

Avanti Research is a trademark of Avanti Polar Lipids, LLC


Still not finding the right product?

Explore all of our products under


存储类别

11 - Combustible Solids

wgk

WGK 3



历史批次信息供参考:

分析证书(COA)

Lot/Batch Number

It looks like we've run into a problem, but you can still download Certificates of Analysis from our 文件 section.

如需帮助,请联系 客户支持

已有该产品?

在文件库中查找您最近购买产品的文档。

访问文档库



Metabolic disease and ABHD6 alter the circulating bis (monoacylglycerol) phosphate profile in mice and humans
Grabner GF, et al.
Journal of Lipid Research, jlr-M093351 (2019)
Roger Lawrence et al.
Molecular genetics and metabolism reports, 21, 100524-100524 (2019-11-14)
GM1 gangliosidosis is a rare autosomal recessive genetic disorder caused by the disruption of the GLB1 gene that encodes β-galactosidase, a lysosomal hydrolase that removes β-linked galactose from the non-reducing end of glycans. Deficiency of this catabolic enzyme leads to
Elena Zaitseva et al.
PLoS pathogens, 6(10), e1001131-e1001131 (2010-10-16)
Many enveloped viruses invade cells via endocytosis and use different environmental factors as triggers for virus-endosome fusion that delivers viral genome into cytosol. Intriguingly, dengue virus (DEN), the most prevalent mosquito-borne virus that infects up to 100 million people each



全球贸易项目编号

货号GTIN
857131P-5MG04061835231997