跳转至内容
Merck
CN

860572P

Avanti

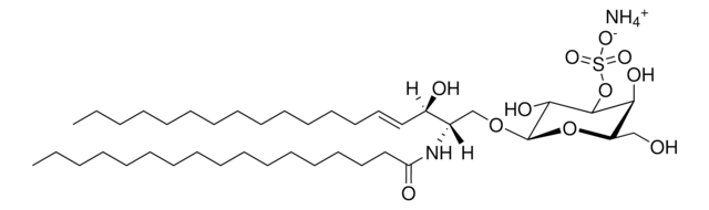
C17 Mono-Sulfo Galactosyl(β) Ceramide (d18:1/17:0)

Avanti Research - A Croda Brand

别名:

3-O-sulfo-D-galactosyl-β1-1′-N-heptadecanoyl-D-erythro-sphingosine (ammonium salt), (synthetic)

登录 查看组织和合同定价。

选择尺寸

变更视图

关于此项目

经验公式(希尔记法):
C41H82N2O11S
化学文摘社编号:
分子量:
811.16
UNSPSC Code:
12352211
NACRES:
NA.25
技术服务
需要帮助?我们经验丰富的科学家团队随时乐意为您服务。
让我们为您提供帮助


产品名称

C17 Mono-Sulfo Galactosyl(β) Ceramide (d18:1/17:0), Avanti Research - A Croda Brand 860572P, powder

assay

>99% (TLC)

form

powder

packaging

pkg of 1 × 1 mg (860572P-1mg)

manufacturer/tradename

Avanti Research - A Croda Brand 860572P

lipid type

sphingolipids

shipped in

dry ice

storage temp.

−20°C

SMILES string

[H][C@](/C=C/CCCCCCCCCCCCC)(O)[C@@]([H])(NC(CCCCCCCCCCCCCCCC)=O)CO[C@H](O1)[C@H](O)[C@@H](OS([O-])(=O)=O)[C@H]([C@H]1CO)O.[NH4+]

InChI

1S/C41H79NO11S.H3N/c1-3-5-7-9-11-13-15-17-19-21-23-25-27-29-31-37(45)42-34(35(44)30-28-26-24-22-20-18-16-14-12-10-8-6-4-2)33-51-41-39(47)40(53-54(48,49)50)38(46)36(32-43)52-41;/h28,30,34-36,38-41,43-44,46-47H,3-27,29,31-33H2,1-2H3,(H,42,45)(H,48,49,50);1H

InChI key

YMVAMOSEAIAACO-FDBYLCKRSA-N

Application

C17 Mono-Sulfo Galactosyl(β) Ceramide (d18:1/17:0) is suitable for use as one of the lipid standards for quantification of different phospholipids by flow injection analysis-tandem mass spectrometry (FIA-MS/MS) method.

Biochem/physiol Actions

C17 Mono-Sulfo Galactosyl(β) Ceramide (d18:1/12:0) is a non-physical sulfatide. Accumulation of sulfatide impairs the activity of arylsulfatase A enzyme, which in turn leads to the development of genetic disease, metachromatic leukodystrophy.

Packaging

5 mL Amber Glass Screw Cap Vial (860572P-1mg)

Legal Information

Avanti Research is a trademark of Avanti Polar Lipids, LLC


存储类别

11 - Combustible Solids

法规信息

涉药品监管产品

此项目有



历史批次信息供参考:

分析证书(COA)

Lot/Batch Number

It looks like we've run into a problem, but you can still download Certificates of Analysis from our 文件 section.

如需帮助,请联系 客户支持

已有该产品?

在文件库中查找您最近购买产品的文档。

访问文档库



Extracellular vesicles released by fibroblasts undergoing H-Ras induced senescence show changes in lipid profile
Buratta S, et al.
PLoS ONE, 12(11), e0188840-e0188840 (2017)
Diabetes alters myelin lipid profile in rat cerebral cortex: Protective effects of dihydroprogesterone
Cermenati G, et al.
The Journal of Steroid Biochemistry and Molecular Biology, 168, 60-70 (2017)
Synthetic sulfogalactosylceramide (sulfatide) and its use for the mass spectrometric quantitative urinary determination in metachromatic leukodystrophies
Cui Y, et al.
Glycoconjugate Journal, 25(2), 147-155 (2008)



全球贸易项目编号

货号GTIN
860572P-1MG04061835318162