登录 查看组织和合同定价。
选择尺寸
变更视图
关于此项目
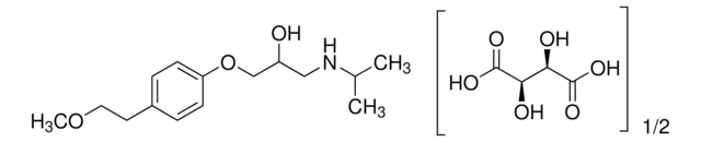
经验公式(希尔记法):
C15H25NO3 · 0.5 C4H6O6
化学文摘社编号:
分子量:
342.41
NACRES:
NA.24
PubChem Substance ID:
UNSPSC Code:
41116107
EC Number:
200-659-6
MDL number:
grade
certified reference material
Quality Level
form
liquid
feature
Snap-N-Spike®/Snap-N-Shoot®
packaging
ampule of 1 mL
manufacturer/tradename
Cerilliant®
concentration
1.0 mg/mL in methanol (as free base)
technique(s)
gas chromatography (GC): suitable, liquid chromatography (LC): suitable
application(s)
clinical testing
format
single component solution
storage temp.
2-8°C
SMILES string
CC(C)NCC(COC1=CC=C(CCOC)C=C1)O.CC(C)NCC(COC2=CC=C(CCOC)C=C2)O.OC(C(O)=O)C(C(O)=O)O
InChI
1S/2C15H25NO3.C4H6O6/c2*1-12(2)16-10-14(17)11-19-15-6-4-13(5-7-15)8-9-18-3;5-1(3(7)8)2(6)4(9)10/h2*4-7,12,14,16-17H,8-11H2,1-3H3;1-2,5-6H,(H,7,8)(H,9,10)
InChI key
YGULWPYYGQCFMP-UHFFFAOYSA-N
Gene Information
human ... ADRB1(153)
General description
经认证的溶液标准品,适用于通过LC-MS/MS或GC/MS进行临床毒理学或法医分析。美托洛尔用于多种心脏病的治疗,包括高血压,心绞痛和心动过速。这种β受体阻滞剂以Lepressor和Toprol XL®的商品名出售。
Legal Information
CERILLIANT is a registered trademark of Merck KGaA, Darmstadt, Germany
Snap-N-Shoot is a registered trademark of Cerilliant Corporation
Snap-N-Spike is a registered trademark of Merck KGaA, Darmstadt, Germany
Toprol XL is a registered trademark of Astrazeneca AB
Disclaimer
Supply conditions do not apply to the regions and states of Brazil: North, Northeast, Mato Grosso do Sul, Mato Grosso, and Rio Grande do Sul.
signalword
Danger
Hazard Classifications
Acute Tox. 3 Dermal - Acute Tox. 3 Inhalation - Acute Tox. 3 Oral - Flam. Liq. 2 - STOT SE 1
target_organs
Eyes,Central nervous system
存储类别
3 - Flammable liquids
wgk
WGK 2
flash_point_f
49.5 °F - closed cup
flash_point_c
9.7 °C - closed cup
法规信息
危险化学品
此项目有
Iu M Alekseeva et al.
Kardiologiia, 52(11), 86-91 (2012-12-15)
We present analysis of a case history of a patient with rare congenital heart disorder - Bland-White-Garland syndrome. The 25 years old women was first diagnosed with this disorder during an examination in the cardiological department of the Moscow clinical
A L Vertkin et al.
Klinicheskaia meditsina, 91(3), 31-35 (2013-06-26)
Patients with acute coronary syndrome and elevated ST segment in the pre-hospital phase were treated with metoprolol succinate (MS) and thrombolytic therapy. Severe and moderate pain decreased by 54.1 and 16.1% respectively within 60 min after MS intake. Systolic (SAP)
Thomas Kahan et al.
European journal of clinical investigation, 43(2), 141-151 (2013-01-03)
Although stable angina pectoris often carries a favourable prognosis, it remains important to identify patients with an increased risk of cardiovascular (CV) complications. Many new markers of disease activity and prognosis have been described. We evaluated whether common and easily
全球贸易项目编号
| 货号 | GTIN |
|---|---|
| M-123-1ML | 04061833976791 |


