跳转至内容
Merck
CN

20909

镉离子载体 I

Selectophore

别名:

N,N,N′,N′-四丁基-3,6-二氧八辛二(硫酰胺), ETH 1062

登录 查看组织和合同定价。

选择尺寸

变更视图

关于此项目

经验公式(希尔记法):
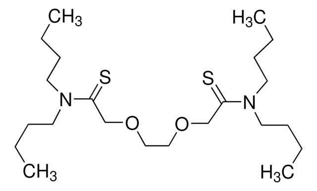
C22H44N2O2S2
化学文摘社编号:
分子量:
432.73
UNSPSC Code:
26111700
NACRES:
NB.61
PubChem Substance ID:
MDL number:
Beilstein/REAXYS Number:
4521607
技术服务
需要帮助?我们经验丰富的科学家团队随时乐意为您服务。
让我们为您提供帮助


description

for ion-selective electrodes

Quality Level

product line

Selectophore

form

powder

mp

34-36 °C

SMILES string

CCCCN(CCCC)C(=S)COCCOCC(=S)N(CCCC)CCCC

InChI

1S/C22H44N2O2S2/c1-5-9-13-23(14-10-6-2)21(27)19-25-17-18-26-20-22(28)24(15-11-7-3)16-12-8-4/h5-20H2,1-4H3

InChI key

NKWPVGBRWCCVGT-UHFFFAOYSA-N

General description

请访问我们的传感器应用门户网站,了解更多信息。

Application

精选应用实例
在溶剂聚合膜中用作镉选择性离子载体

Packaging

无底玻璃瓶。内含物装在插入的融合锥内。

Legal Information

Selectophore is a trademark of Merck KGaA, Darmstadt, Germany


存储类别

11 - Combustible Solids

wgk

WGK 3

flash_point_f

Not applicable

flash_point_c

Not applicable

ppe

Eyeshields, Gloves, type N95 (US)



历史批次信息供参考:

分析证书(COA)

Lot/Batch Number

It looks like we've run into a problem, but you can still download Certificates of Analysis from our 文件 section.

如需帮助,请联系 客户支持

已有该产品?

在文件库中查找您最近购买产品的文档。

访问文档库



Lian-Zhen Li et al.
Environmental toxicology and chemistry, 36(4), 1038-1046 (2016-10-30)
Uptake and membrane transport of cadmium (Cd) in roots of the hyperaccumulator Sedum plumbizincicola X.H. Guo et S.B. Zhou ex L.H. Wu was characterized by assessing the impact of various inhibitors and ion channel blockers on Cd accumulation as well
Jie Ma et al.
Aquatic toxicology (Amsterdam, Netherlands), 202, 136-144 (2018-07-22)
The nitrogen (N) and phosphorus (P) loadings in coastal waters have greatly increased due to anthropogenic input. However, the silicate levels have remained stable in the past decades, leading to nutrient status alternating from N limitation to Si limitation. Few
Haipeng Guo et al.
Physiologia plantarum, 159(3), 340-353 (2016-10-28)
Miscanthus is a vigorous perennial Gramineae genus grown throughout the world as a promising bioenergy crop and generally regarded as heavy metal tolerant due to its ability to absorb heavy metals. However, little is known about the mechanism for heavy



全球贸易项目编号

货号GTIN
20909-50MG-F04061832808758