跳转至内容
Merck
CN

60397

钾离子载体 III

Selectophore, function tested

别名:

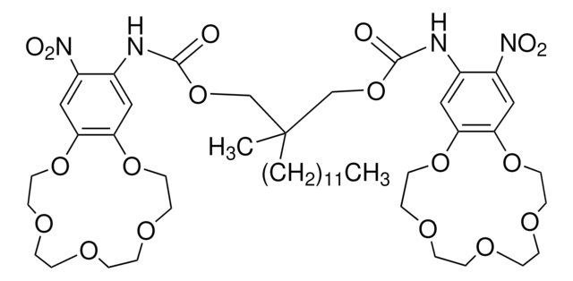
2-十二烷基-2-甲基-1,3-丙二基双[N-[5′-硝基(苯并-15-冠-5)-4′-基]氨基甲酸酯], BME 44

登录 查看组织和合同定价。

选择尺寸

变更视图

关于此项目

经验公式(希尔记法):
C46H70N4O18
化学文摘社编号:
分子量:
967.06
NACRES:
NB.61
PubChem Substance ID:
UNSPSC Code:
26111700
MDL number:
技术服务
需要帮助?我们经验丰富的科学家团队随时乐意为您服务。
让我们为您提供帮助


description

for ion-selective electrodes

Quality Level

product line

Selectophore

quality

function tested

SMILES string

CCCCCCCCCCCCC(C)(COC(=O)Nc1cc2OCCOCCOCCOCCOc2cc1[N+]([O-])=O)COC(=O)Nc3cc4OCCOCCOCCOCCOc4cc3[N+]([O-])=O

InChI

1S/C46H70N4O18/c1-3-4-5-6-7-8-9-10-11-12-13-46(2,34-67-44(51)47-36-30-40-42(32-38(36)49(53)54)65-28-24-61-20-16-57-14-18-59-22-26-63-40)35-68-45(52)48-37-31-41-43(33-39(37)50(55)56)66-29-25-62-21-17-58-15-19-60-23-27-64-41/h30-33H,3-29,34-35H2,1-2H3,(H,47,51)(H,48,52)

InChI key

ATWXVVNLVXXTQN-UHFFFAOYSA-N

General description

请访问 传感器应用门户网站 了解更多信息。

Application

钾离子载体III可用于制备离子选择性聚氯乙烯(PVC)膜,作为用于食品分析的电位电舌中的电位传感器的一部分。
选应用实例

Packaging

无底玻璃瓶。内含物在插入的融合锥体内。

Other Notes

用于测定 K+(尤其是在体液中)的溶剂聚合膜电极中的离子载体

Legal Information

Selectophore is a trademark of Merck KGaA, Darmstadt, Germany


存储类别

11 - Combustible Solids

wgk

WGK 3

flash_point_f

Not applicable

flash_point_c

Not applicable

ppe

Eyeshields, Gloves, type N95 (US)



历史批次信息供参考:

分析证书(COA)

Lot/Batch Number

没有发现合适的版本?

如果您需要特殊版本,可通过批号或批次号查找具体证书。

已有该产品?

在文件库中查找您最近购买产品的文档。

访问文档库



Dennis Kolosov et al.
Journal of insect physiology, 109, 55-68 (2018-06-18)
Classical studies have described in detail the complex and regionalized morphology of the Malpighian tubule (MT) in larval Lepidoptera. Recent studies revealed unusual aspects of ion transport in the Malpighian tubules of the larva of the cabbage looper, Trichoplusia ni.
E. Lindner et al.
Mikrochimica Acta, 157-157 (1990)
Application of a potentiometric electronic tongue as a classification tool in food analysis.
Gallardo J, et al.
Talanta, 66(5), 1303-1309 (2005)



全球贸易项目编号

货号GTIN
60397-25MG04061832809021
60397-100MG04061832675794