biological source
Streptomyces griseus
Quality Level
form
powder
potency
≥720 I.U. per mg
mol wt
calculated mol wt 1457.38
storage condition
(Keep container tightly closed in a dry and well-ventilated place. Keep in a dry place.)
color
white to off-white
antibiotic activity spectrum
Gram-negative bacteria, Gram-positive bacteria, mycobacteria
mode of action
protein synthesis | interferes
storage temp.
2-8°C
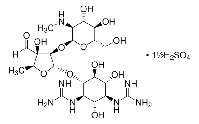
SMILES string
OS(O)(=O)=O.OS(O)(=O)=O.OS(O)(=O)=O.CN[C@H]1[C@H](O)[C@@H](O)[C@H](CO)O[C@H]1O[C@H]2[C@@H](O[C@@H](C)[C@]2(O)C=O)O[C@@H]3[C@@H](O)[C@H](O)[C@@H](NC(N)=N)[C@H](O)[C@H]3NC(N)=N.CN[C@H]4[C@H](O)[C@@H](O)[C@H](CO)O[C@H]4O[C@H]5[C@@H](O[C@@H](C)[C@]5(O)C=O)O[C@@H]6[C@@H](O)[C@H](O)[C@@H](NC(N)=N)[C@H](O)[C@H]6NC(N)=N
InChI
1S/2C21H39N7O12.3H2O4S/c2*1-5-21(36,4-30)16(40-17-9(26-2)13(34)10(31)6(3-29)38-17)18(37-5)39-15-8(28-20(24)25)11(32)7(27-19(22)23)12(33)14(15)35;3*1-5(2,3)4/h2*4-18,26,29,31-36H,3H2,1-2H3,(H4,22,23,27)(H4,24,25,28);3*(H2,1,2,3,4)/t2*5-,6-,7-,8+,9-,10-,11-,12+,13-,14-,15-,16-,17-,18-,21+;;;/m00.../s1
InChI key
QTENRWWVYAAPBI-YZTFXSNBSA-N
General description
Application
Biochem/physiol Actions
耐药性机制:rpsL这种S12核糖体蛋白基因中的突变可阻止链霉素与核糖体结合。 一种氨基糖苷磷酸转移酶也可使链霉素失活。
抗菌谱:链霉素能够对抗革兰氏阴性和革兰氏阳性菌。
Preparation Note
Other Notes
Disclaimer
Still not finding the right product?
Explore all of our products under 链霉素 硫酸盐
signalword
Warning
hcodes
Hazard Classifications
Acute Tox. 4 Oral - Repr. 2
存储类别
11 - Combustible Solids
wgk
WGK 3
flash_point_f
Not applicable
flash_point_c
Not applicable
ppe
dust mask type N95 (US), Eyeshields, Faceshields, Gloves
法规信息
此项目有
商品
蛋白质合成是一个复杂、多步骤过程,涉及到很多酶以及构象排列。但是,阻碍细菌蛋白质合成的大部分抗生素对该过程的干扰发生在70S细菌核糖体的30S亚基或50S亚基。
Antibiotics targeting bacterial ribosomes disrupt protein synthesis, a key process in bacterial growth inhibition.
全球贸易项目编号
| 货号 | GTIN |
|---|---|
| S6501-1KG | 04061835549627 |
| S6501-50G | 04061835549641 |
| S6501-100G | 04061835549610 |
| S6501-10KG | 04061833352076 |
| S6501-25G | 04061835549634 |
| S6501-5G | 04061835516810 |

